Account Options

  1. Sign in
    Screen reader users: click this link for accessible mode. Accessible mode has the same essential features but works better with your reader.

    Patents

    1. Advanced Patent Search
    Publication numberUS20090249517 A1
    Publication typeApplication
    Application numberUS 12/429,488
    Publication dateOct 1, 2009
    Filing dateApr 24, 2009
    Priority dateJun 29, 2001
    Also published asCA2449238A1, CA2449254A1, CA2449254C, DE60238917D1, EP1412373A2, EP1412373A4, EP1412375A2, EP1412375A4, EP1412375B1, US7157621, US7294759, US8785726, US20030126638, US20030204870, US20070022499, US20090235391, US20140325704, WO2003001902A2, WO2003001902A3, WO2003002751A2, WO2003002751A3
    Publication number12429488, 429488, US 2009/0249517 A1, US 2009/249517 A1, US 20090249517 A1, US 20090249517A1, US 2009249517 A1, US 2009249517A1, US-A1-20090249517, US-A1-2009249517, US2009/0249517A1, US2009/249517A1, US20090249517 A1, US20090249517A1, US2009249517 A1, US2009249517A1
    InventorsStephen M. Allen, William B. Allen, Rebecca E. Cahoon, Sabine Epelbaum, Omolaya O. Famodu, Leslie T. Harvell, Todd J. Jones, Anthony J. Kinney, Theodore M. Klein, Changjiang Li, Igor Cunha Oliveira, Hajime Sakai, Bo Shen, Mitchell C. Tarczynski
    Original AssigneePioneer Hi-Bred International, Inc., E.I. Dupont De Nemours And Company
    Export CitationBiBTeX, EndNote, RefMan
    External Links: USPTO, USPTO Assignment, Espacenet
    Alteration of Oil Traits in Plants
    US 20090249517 A1
    Abstract
    The preparation and use of nucleic acid fragments useful in altering the phenotype in plants are disclosed. Chimeric constructs incorporating such nucleic acid fragments and suitable regulatory sequences can be used to create transgenic plants having altered phenotypes. Methods for altering the phenotype of plants using such nucleic acid fragments also are disclosed.
    Images(38)
    Previous page
    Next page
    Claims(8)
    1. An isolated nucleic acid sequence selected from the group consisting of:
    a nucleic acid sequence encoding a polypeptide having at least 88% identity based on the Clustal method of alignment when compared to a polypeptide selected from the group consisting of SEQ ID NOs: 144 and 288.
    2. A fully complementary sequence of the nucleic acid of claim 1.
    3. A chimeric construct comprising the isolated nucleic acid of claim 1 operably linked to at least one regulatory sequence.
    4. A plant comprising in its genome the chimeric construct of claim 3.
    5. The plant of claim 5 wherein said plant is selected from the group consisting of corn, soybean, wheat, rice, canola, Brassica, sorghum, sunflower, and coconut.
    6. Seeds obtained from the plant of claim 5.
    7. A method for altering the phenotype of a plant which comprises:
    (a) transforming a plant with the chimeric construct of claim 4;
    (b) growing the transformed plant under conditions suitable for expression of the chimeric gene; and
    (c) selecting those transformed plants whose oil phenotype has been altered compared to the oil phenotype of an untransformed plant.
    8. The method of claim 7 wherein the plant is selected from the group consisting of corn, soybean, wheat, rice, canola, Brassica, sorghum, sunflower, and coconut.
    Description
      CROSS-REFERENCE TO RELATED APPLICATIONS
    • [0001]
      This application is a continuation of co-pending U.S. Application Serial 11/526,171 filed Aug. 22, 2006, which is a continuation of U.S. Pat. No. 7,157,621, issued Jan. 2, 2007, which claims the benefit of U.S. Application Ser. No. 60/301,913 filed Jun. 29, 2001, which is herein incorporated by reference in its entirety.
    • FIELD OF THE INVENTION
    • [0002]
      The present invention is in the field of plant breeding and genetics and, in particular, relates to the alteration of oil phenotype in plants through the controlled expression of selective genes.
    • BACKGROUND OF THE INVENTION
    • [0003]
      Plant lipids have a variety of industrial and nutritional uses and are central to plant membrane function and climatic adaptation. These lipids represent a vast array of chemical structures, and these structures determine the physiological and industrial properties of the lipid. Many of these structures result either directly or indirectly from metabolic processes that alter the degree of unsaturation of the lipid. Different metabolic regimes in different plants produce these altered lipids, and either domestication of exotic plant species or modification of agronomically adapted species is usually required to produce economically large amounts of the desired lipid.
    • [0004]
      There are serious limitations to using mutagenesis to alter fatty acid composition. Screens will rarely uncover mutations that a) result in a dominant (“gain-of-function”) phenotype, b) are in genes that are essential for plant growth, and c) are in an enzyme that is not rate-limiting and that is encoded by more than one gene. In cases where desired phenotypes are available in mutant corn lines, their introgression into elite lines by traditional breeding techniques is slow and expensive, since the desired oil compositions are likely the result of several recessive genes.
    • [0005]
      Recent molecular and cellular biology techniques offer the potential for overcoming some of the limitations of the mutagenesis approach, including the need for extensive breeding. Some of the particularly useful technologies are seed-specific expression of foreign genes in transgenic plants [see Goldberg et al (1989) Cell 56:149-160], and the use of antisense RNA to inhibit plant target genes in a dominant and tissue-specific manner [see van der Krol et al (1988) Gene 72:45-50]. Other advances include the transfer of foreign genes into elite commercial varieties of commercial oilcrops, such as soybean [Chee et al (1989) Plant Physiol. 91:1212-1218; Christou et al (1989) Proc. Natl. Acad. Sci. U.S.A. 86:7500-7504; Hinchee et al (1988) Bio/Technology 6:915-922; EPO publication 0 301 749 A2], rapeseed [De Block et al (1989) Plant Physiol. 91:694-701], and sunflower [Everett et al (1987) Bio/Technology 5:1201-1204], and the use of genes as restriction fragment length polymorphism (RFLP) markers in a breeding program, which makes introgression of recessive traits into elite lines rapid and less expensive [Tanksley et al (1989) Bio/Technology 7:257-264]. However, application of each of these technologies requires identification and isolation of commercially-important genes.
    • [0006]
      The regulation of transcription of most eukaryotic genes is coordinated through sequence-specific binding of proteins to the promoter region located upstream of the gene. Many of these protein-binding sequences have been conserved during evolution and are found in a wide variety of organisms. One such feature is the “CCAAT” sequence element. (Edwards et al, 1998, Plant Physiol. 117:1015-1022). CCAAT boxes are a feature of gene promoters in many eukaryotes including several plant gene promoters.
    • [0007]
      HAP proteins constitute a large family of transcription factors first identified in yeast. They combine to from a heteromeric protein complex that activates transcription by binding to CCAAT boxes in eukaryotic promoters. The orthologous Hap proteins display a high degree of evolutionary conservation in their functional domains in all species studied to date (Li et al, 1991).
    • [0008]
      WO 00/28058 published on May 18, 2000 describes Hap3-type CCAAT-box binding transcriptional activator polynucleotides and polypeptides, especially, the leafy cotyledon 1 transcriptional activator (LEC1) polynucleotides and polypeptides.
    • [0009]
      WO 99/67405 describes leafy cotyledons genes and their uses.
    • [0010]
      The human, murine and plant homologues of CCAAT-binding proteins have been isolated and characterized based on their sequence similarity with their yeast counterparts (Li et al, 1991). This high degree of sequence homology translates remarkably into functional interchangeability among orthologue proteins of different species (Sinha et al, 1995). Unlike yeast, multiple forms of each HAP homolog have been identified in plants (Edwards et al, 1998).
    • [0011]
      Molecular and genetic analysis revealed HAP members to be involved in the control of diverse and critical biological processes ranging from development and cell cycle regulation to metabolic control and homeostasis (Lotan et al, 1998; Lopez et al, 1996). In yeast, HAPs are involved in the transcriptional control of metabolic relevant processes such as the regulation of catabolic derepression of cyc1 and other genes involved in respiration (Becker et al., 1991).
    • [0012]
      In mammalian systems, several reports describe HAPs as direct or indirect regulators of several important genes involved in lipid biosynthesis such as fatty acid synthase (Roder et al, 1997), farnesyl diphosphate (FPP) synthase (Jackson et al, 1995; Ericsson et al, 1996), glycerol-3-phosphate acyltransferase (GPA, Jackson et al, 1997), acetyl-CoA carboxylase (ACC, Lopez et al, 1996) and 3-hydroxy-3-methylglutaryl-coenzyme A (HMG-CoA) synthase (Jackson et al, 1995), among others.
    • [0013]
      In addition, other CCAAT-binding transcription factors have also been reported to be involved in different aspects of the control of lipid biosynthesis and adipocyte growth and differentiation in mammalian systems (see McKnight et al, 1989).
    • [0014]
      It appears that the currently available evidence to date points to a family of proteins of the CCAAT-binding transcription factors as important modulators of metabolism and lipid biosynthesis in mammalian systems. Such a determination has not been made for plant systems.
    • SUMMARY OF THE INVENTION
    • [0015]
      This invention concerns an isolated nucleotide fragment comprising a nucleic acid sequence selected from the group consisting of:
    • [0016]
      (a) a nucleic acid sequence encoding a first polypeptide having receptor-like protein kinase activity, the first polypeptide having at least 85% identity based on the Clustal method of alignment when compared to a second polypeptide selected from the group consisting of SEQ ID NOs:2 or 4;
    • [0017]
      (b) a nucleic acid sequence encoding a third polypeptide having MAP kinase-kinase-kinase activity, the third polypeptide having at least 70% identity based on the Clustal method of alignment when compared to a fourth polypeptide selected from the group consisting of SEQ ID NOs:6, 8, 10, 12, 14, 16, 493, 495, or 497;
    • [0018]
      (c) a nucleic acid sequence encoding a fifth polypeptide having Hap2-like transcription factor activity, the fifth polypeptide having at least 70% identity based on the Clustal method of alignment when compared to a sixth polypeptide selected from the group consisting of SEQ ID NOs:18, 20, 22, 26, 28, 30, 32, 34, 36, 38, 40, 42, 44, 46, 48, 50, 52, 54, 56, 58, 62, 64, 66, 68, 70, 72, 74, 76, 78, 80, 82, 84, 86, 88, 90, 92, 94, 96, 98, 461, 463, 465, 467, or 469;
    • [0019]
      (d) a nucleic acid sequence encoding a seventh polypeptide having Hap5-like transcription factor activity, the seventh polypeptide having at least 80% identity based on the Clustal method of alignment when compared to an eighth polypeptide selected from the group consisting of SEQ ID NOs:100, 102, 104, 106, 108, 110, 112, 114, 116, 118, 120, 122, 124, 126, 128, 130, 132, 134, 136, 138, 140, 142, or 144, or 474;
    • [0020]
      (e) a nucleic acid sequence encoding a ninth polypeptide having LIP15-like transcription factor activity, the ninth polypeptide having at least 85% identity based on the Clustal method of alignment when compared to a tenth polypeptide selected from the group consisting of SEQ ID NOs:148, 152, or 154;
    • [0021]
      (f) a nucleic acid sequence encoding an eleventh polypeptide caleosin-like activity, the eleventh polypeptide having at least 70% identity based on the Clustal method of alignment when compared to a twelfth polypeptide selected from the group consisting of SEQ ID NOs:158, 160, 162, 164, 166, 168, 170, 172, 174, 176, 178, 180, 182, 184, 186, 188, 190, 192, 194, 196, 198, 499, 501, 503, 505, 507, 509, 511, 513, 515, 517, 519, 521, 523, 525, or 527; or
    • [0022]
      (g) a nucleic acid sequence encoding a thirteenth polypeptide having ATP citrate lyase activity, the thirteenth polypeptide having at least 94% identity based on the Clustal method of alignment when compared to a fourteenth polypeptide selected from the group consisting of SEQ ID NOs:200, 202, 204, 206, 208, 210, 212, 214, 216, 218, 220, 222, 224, 226, 228, 230, or 232;
    • [0023]
      (h) a nucleic acid sequence encoding a fifteenth polypeptide having SNF1-like activity, the fifteenth polypeptide having at least 90% identity based on the Clustal method of alignment when compared to a sixteenth polypeptide selected from the group consisting of SEQ ID NOs:244, 256, or 258;
    • [0024]
      (i) a nucleic acid sequence encoding a seventeenth polypeptide having Hap3/Lec1-like activity, the seventeenth polypeptide having at least 70% identity based on the Clustal method of alignment when compared to a eighteenth polypeptide selected from the group consisting of SEQ ID NOs:260, 262, 264, or 266;
    • [0025]
      (j) a nucleic acid sequence encoding a nineteenth polypeptide having CKC-like transcription factor activity, the nineteenth polypeptide having at least 88% identity based on the Clustal method of alignment when compared to an twentieth polypeptide selected from the group consisting of SEQ ID NOs:310, 312, 316, 318, 320, 328, 330, 332, 338, 342, 344, 348, 352, 354, 358, 362, 477, 479, 481, 483, 485, 487, 489, or 491.
    • [0026]
      Also of interest are the complements of such nucleotide fragment as well as the use of such fragments or a part thereof in antisense inhibition or co-suppression in a transformed plant.
    • [0027]
      In a second embodiment, this invention concerns chimeric constructs comprising such fragments, plants comprising such chimeric genes in their genome, seeds obtained from such plants and oil obtained from these seeds.
    • [0028]
      In a third embodiment, this invention concerns a method for altering oil phenotype in a plant which comprises:
    • [0029]
      (a) transforming a plant with a chimeric construct the invention,
    • [0030]
      (b) growing the transformed plant under conditions suitable for expression of the chimeric gene; and
    • [0031]
      (c) selecting those transformed plants whose oil phenotype has been altered compared to the oil phenotype of an untransformed plant.
    • [0032]
      In a fourth embodiment, this invention concerns a method for altering oil phenotype in a plant which comprises:
    • [0033]
      (a) transforming a plant with a chimeric construct comprising isolated nucleotide fragment comprising a nucleic acid sequence selected from the group consisting of:
        • (i) a nucleic acid sequence encoding a plant SNF1 protein kinase having at least 60% identity based on the Clustal method of alignment when compared to a second polypeptide selected from the group consisting of even SEQ ID NOs: from 234 to 258 and SEQ ID NOs:400-409;
        • (ii) the complement of the nucleic acid sequence of (i);
        • (iii) the sequence of (i) or (ii) or a part thereof which is useful in antisense inhibition or co-suppression in a transformed plant;
        • (iv) a nucleic acid sequence encoding a plant Hap3/Lec1 transcription factor having at least 60% identity based on the Clustal method of alignment when compared to a second polypeptide selected from the group consisting of even SEQ ID NOs: from 260 to 278, and SEQ ID NOs:411 and 412;
        • (v) the complement of the nucleic acid sequence of (iv);
        • (vi) the sequence of (iv) or (v) or a part thereof which is useful in antisense inhibition or co-suppression in a transformed plant;
        • (vii) a nucleic acid sequence encoding a plant Lec1-related CCAAT binding transcription factor having at least 60% identity based on the Clustal method of alignment when compared to a second polypeptide selected from the group consisting of even SEQ ID NOs: from 280 to 308, and SEQ ID NOs:413-418;
        • (viii) the complement of the nucleic acid sequence of (vii);
        • (ix) the sequence of (vii) or (viii) or a part thereof which is useful in antisense inhibition or co-suppression in a transformed plant;
        • (x) a nucleic acid sequence encoding a plant Aintegumenta-like transcription factor having at least 60% identity based on the Clustal method of alignment when compared to a second polypeptide selected from the group consisting of even SEQ ID NOs: from 310 to 364, and SEQ ID NOs:419-429;
        • (xi) the complement of the nucleic acid sequence of (x);
        • (xii) the sequence of (x) or (xi) or a part thereof which is useful in antisense inhibition or co-suppression in a transformed plant;
    • [0046]
      wherein said nucleic acid sequence is operably linked to at least one regulatory sequence;
    • [0047]
      (b) growing the transformed plant under conditions suitable for expression of the chimeric gene; and
    • [0048]
      (c) selecting those transformed plants whose oil phenotype has been altered compared to the oil phenotype of an untransformed plant.
    • [0049]
      In a fifth embodiment, this invention concerns a method for altering oil phenotype in a plant which comprises:
    • [0050]
      (a) transforming a plant with a chimeric construct comprising an isolated nucleic acid fragment operably linked to at least one regulatory sequence wherein said fragment has a nucleic acid sequence encoding a polypeptide having a sequence identity of at least 60% based on the Clustal method of alignment when compared to a polypeptide selected from the group consisting of even SEQ ID NOs: from 2 to 364, and SEQ ID NOs:365-429 and 528-532, and all odd SEQ ID NOs: from 477 to 527;
    • [0051]
      (b) growing the transformed plant under conditions suitable for expression of the chimeric gene; and
    • [0052]
      (c) selecting those transformed plants whose oil phenotype has been altered compared to the oil phenotype of an untransformed plant.
    • [0053]
      In a sixth embodiment, this invention concerns method of mapping genetic variations related to altered oil phenotypes in a plant comprising:
    • [0054]
      (a) crossing two plant varieties; and
    • [0055]
      (b) evaluating genetic variations with respect to nucleic acid sequences set forth in the odd SEQ ID NOs: from 1 to 363, and in even SEQ ID NOs: from 476 to 526, in progeny plants resulting from the cross of step (a) wherein the evaluation is made using a method selected from the group consisting of: RFLP analysis, SNP analysis, and PCR-based analysis.
    • [0056]
      In a seventh embodiment, this invention concerns a method of molecular breeding to obtain altered oil phenotypes in a plant comprising:
    • [0057]
      (a) crossing two plant varieties; and
    • [0058]
      (b) evaluating genetic variations with respect to nucleic acid sequences set forth in the odd SEQ ID NOs: from 1 to 363, and in even SEQ ID NOs: from 476 to 526, in progeny plants resulting from the cross of step (a) wherein the evaluation is made using a method selected from the group consisting of: RFLP analysis, SNP analysis, and PCR-based analysis.
    • [0059]
      In an eighth embodiment, this invention concerns a method for altering oil phenotype in a plant which comprises:
    • [0060]
      (a) transforming a plant with a chimeric construct comprising isolated nucleotide fragment comprising a nucleic acid sequence selected from the group consisting of:
    • [0061]
      (i) a nucleic acid sequence encoding a plant Hap3/Lec1 transcription factor having at least 70% identity based on the Clustal method of alignment when compared to a second polypeptide selected from the group consisting of SEQ ID NOs:260, 262, 264, 268, 270, 272, 274, 276, 278, 411, 412. or 459;
    • [0062]
      (ii) the complement of the nucleic acid sequence of (iv);
    • [0063]
      (iii) the sequence of (iv) or (v) or a part thereof which is useful in antisense inhibition or co-suppression in a transformed plant;
    • [0064]
      (b) growing the transformed plant under conditions suitable for expression of the chimeric gene; and
    • [0065]
      (c) selecting those transformed plants whose oil phenotype has been altered compared to the oil phenotype of an untransformed plant.
    • [0066]
      In a ninth embodiment, this invention concerns a method to isolate nucleic acid fragments associated with altering oil phenotype in a plant which comprises:
    • [0067]
      (a) comparing even SEQ ID NOs: from 2 to 364, and SEQ ID NOs:365-429 and 528-532, and all odd SEQ ID NOs: from 477 to 527 with other polypeptide sequences for the purpose of identifying polypeptides associated with altering oil phenotype in a plant;
    • [0068]
      (b) identifying the conserved sequences(s) or 4 or more amino acids obtained in step (a);
    • [0069]
      (c) making region-specific nucleotide probe(s) or oligomer(s) based on the conserved sequences identified in step (b); and
    • [0070]
      (d) using the nucleotide probe(s) or oligomer(s) of step (c) to isolate sequences associated with altering oil phenotype by sequence dependent protocols.
    • BRIEF DESCRIPTION OF SEQUENCE LISTINGS
    • [0071]
      The invention can be more fully understood from the following detailed description and the accompanying Sequence Listing which form a part of this application.
    • [0072]
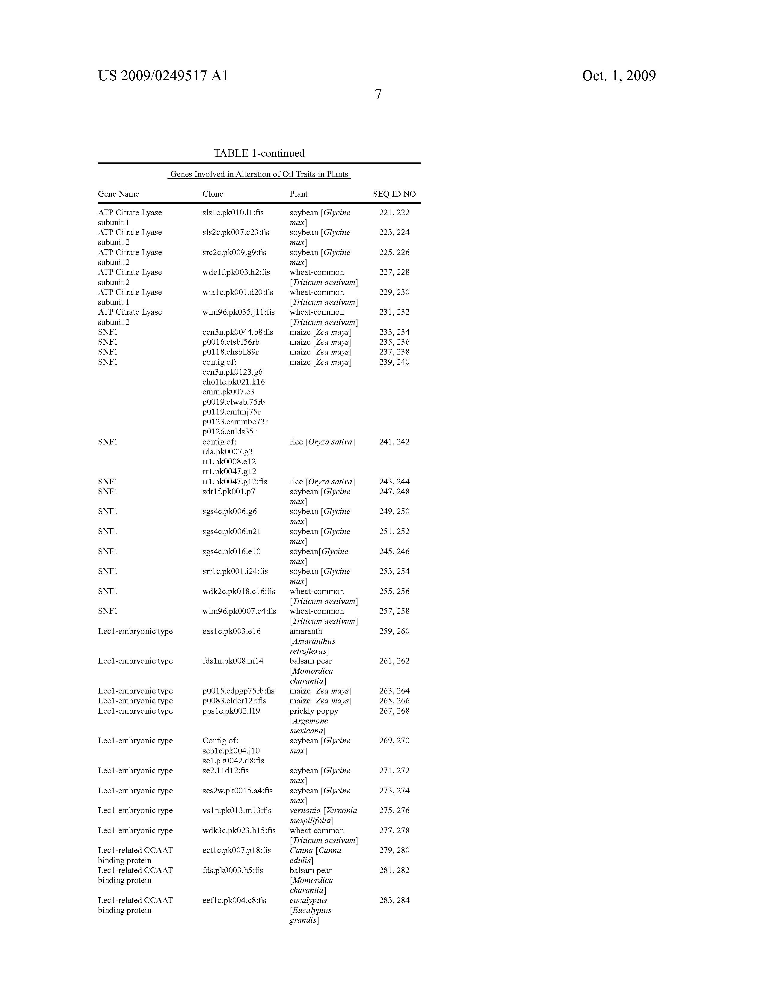
      Table 1 lists the polypeptides that are described herein, the designation of the cDNA clones that comprise the nucleic acid fragments encoding polypeptides representing all or a substantial portion of these polypeptides, and the corresponding identifier (SEQ ID NO:) as used in the attached Sequence Listing. The sequence descriptions and Sequence Listing attached hereto comply with the rules governing nucleotide and/or amino acid sequence disclosures in patent applications as set forth in 37 C.F.R. §1.821-1.825.
    • [0000]
      TABLE 1
      Genes Involved in Alteration of Oil Traits in Plants
      Gene Name Clone Plant SEQ ID NO
      Receptor-like protein cho1c.pk003.p17:fis maize [Zea mays] 1, 2
      kinase
      Receptor-like protein ceb3.pk0012.a7 maize [Zea mays] 3, 4
      kinase
      MEK3 cho1c.pk003.n23 maize [Zea mays] 5, 6
      MEK3 p0125.czaab60rb:fis maize [Zea mays] 7, 8
      MEK3 rlr24.pk0032.e10 rice [Oryza sativa]  9, 10
      MEK3 rlr24.pk0032.e10:fis rice [Oryza sativa] 496, 497
      MEK3 r10n.pk096.h23 rice [Oryza sativa] 11, 12
      MEK3 r10n.pk096.h23:fis rice [Oryza sativa] 494, 495
      MEK3 src3c.pk018.d10 soybean [Glycine 13, 14
      max]
      MEK3 sr3c.pk011.g22 soybean [Glycine 15, 16
      max]
      MEK3 sr3c.pk011.g22:fis soybean [Glycine 492, 493
      max]
      Hap2a transcription factor vpl1c.pk008.o5:fis grape [Vitis sp.] 23, 24
      Hap2c-like transcription vdb1c.pk001.m5:fis grape [Vitis sp.] 25, 26
      factor
      Hap2 transcription factor cho1c.pk004.b19:fis maize [Zea mays] 27, 28
      Hap2 transcription factor p0015.cdpgu90r:fis maize [Zea mays] 29, 30
      Hap2a transcription factor cta1n.pk0070.f3:fis maize [Zea mays] 31, 32
      Hap2a-like transcription cco1n.pk0014.d4:fis maize [Zea mays] 33, 34
      factor
      Hap2a-like transcription cco1n.pk086.d20:fis maize [Zea mays] 35, 36
      factor
      Hap2b transcription factor p0126.cnlau71r:fis maize [Zea mays] 37, 38
      Hap2b-like transcription p0104.cabav52r maize [Zea mays] 39, 40
      factor
      Hap2c transcription factor cho1c.pk007.l21:fis maize [Zea mays] 41, 42
      Hap2c-like transcription contig of: maize [Zea mays] 43, 44
      factor cca.pk0026.d6
      cen3n.pk0061.e10:fis
      cen3n.pk0135.c2
      cho1c.pk001.n24
      p0092.chwae40r
      Hap2c-like transcription cpf1c.pk006.e3:fis maize [Zea mays] 45, 46
      factor
      Hap2c-like transcription contig of: maize [Zea mays] 47, 48
      factor cr1n.pk0080.g6
      p0003.cgpge51r
      Hap2c-like transcription p0015.cpdfm55r:fis maize [Zea mays] 49, 50
      factor
      Hap2c-like transcription p0083.cldct11r:fis maize [Zea mays] 51, 52
      factor
      Hap2c-like transcription p0083.cldeu68r:fis maize [Zea mays] 53, 54
      factor
      Hap2a transcription factor pps1c.pk001.h3:fis prickly poppy 55, 56
      [Argemone
      mexicana]
      Hap2c-like transcription pps1c.pk007.j21:fis prickly poppy 57, 58
      factor [Argemone
      mexicana]
      Hap2 transcription factor rr1.pk0030.f7:fis rice [Oryza sativa] 59, 60
      Hap2a transcription factor rls72.pk0023.c8:fis rice [Oryza sativa] 61, 62
      Hap2a-like transcription rca1n.pk002.c15 rice [Oryza sativa] 63, 64
      factor
      Hap2a-like transcription rds3c.pk001.g9 rice [Oryza sativa] 65, 66
      factor
      Hap2b transcription factor rca1n.pk002.j3:fis rice [Oryza sativa] 67, 68
      Hap2c-like transcription rca1n.pk029.n22:fis rice [Oryza sativa] 69, 70
      factor
      Hap2c-like transcription rl0n.pk131.j17 rice [Oryza sativa] 71, 72
      factor
      Hap2a transcription factor sdp3c.pk018.b9:fis soybean [Glycine 73, 74
      max]
      Hap2a transcription factor sfl1.pk0102.h8 soybean [Glycine 75, 76
      max]
      Hap2a transcription factor srr3c.pk001.l10:fis soybean [Glycine 77, 78
      max]
      Hap2a-like transcription sdp2c.pk003.o5:fis soybean [Glycine 79, 80
      factor max]
      Hap2b transcription factor sif1c.pk001.m16:fis soybean [Glycine 81, 82
      max]
      Hap2c-like transcription src1c.pk003.o16:fis soybean [Glycine 83, 84
      factor max]
      Hap2c-like transcription src3c.pk012.m6:fis soybean [Glycine 85, 86
      factor max]
      Hap2c-like transcription hss1c.pk011.h10:fis sunflower 87, 88
      factor [Helianthus sp.]
      Hap2 transcription factor wr1.pk0094.f2:fis wheat-common 89, 90
      [Triticum aestivum]
      Hap2a-like transcription wre1n.pk0143.h2:fis wheat-common 91, 92
      factor [Triticum aestivum]
      Hap2b transcription factor wds1f.pk002.p21:fis wheat-common 93, 94
      [Triticum aestivum]
      Hap2c transcription factor contig of: wheat-common 95, 96
      wdilc.pk002.b10 [Triticum aestivum]
      wr1.pk0153.c7:fis
      Hap2c-like transcription wre1n.pk0066.e4:fis wheat-common 97, 98
      factor [Triticum aestivum]
      Hap5c-like transcription ect1c.pk001.k17:fis Canna [Canna  99, 100
      factor edulis]
      Hap5a-like transcription vrr1c.pk004.o20:fis grape [Vitis sp.] 101, 102
      factor
      Hap5a-like transcription clm1f.pk001.k17:fis maize [Zea mays] 103, 104
      factor
      Hap5b-like transcription cde1n.pk003.a5:fis maize [Zea mays] 105, 106
      factor
      Hap5b-like transcription cen3n.pk0164.a10:fis maize [Zea mays] 107, 108
      factor
      Hap5b-like transcription p0118.chsbc77r maize [Zea mays] 109, 110
      factor
      Hap5c-like transcription cco1n.pk055.o18:fis maize [Zea mays] 111, 112
      factor
      Hap5c-like transcription cho1c.pk001.l23:fis maize [Zea mays] 113, 114
      factor
      Hap5c-like transcription cse1c.pk001.h6:fis maize [Zea mays] 115, 116
      factor
      Hap5a-like transcription rlm3n.pk005.d20:fis rice [Oryza sativa] 117, 118
      factor
      Hap5b-like transcription rr1.pk0003.a3:fis rice [Oryza sativa] 119, 120
      factor
      Hap5b-like transcription rr1.pk0039.d4:fis rice [Oryza sativa] 121, 122
      factor
      Hap5c-like transcription rca1n.pk021.b20:fis rice [Oryza sativa] 123, 124
      factor
      Hap5a-like transcription sdp2c.pk029.k17:fis soybean [Glycine 125, 126
      factor max]
      Hap5a-like transcription sdp2c.pk044.e5:fis soybean [Glycine 127, 128
      factor max]
      Hap5b-like transcription sgs4c.pk004.j2 soybean [Glycine 129, 130
      factor max]
      Hap5b-like transcription src3c.pk002.h4:fis soybean [Glycine 131, 132
      factor max]
      Hap5b-like transcription src3c.pk009.b15:fis soybean [Glycine 133, 134
      factor max]
      Hap5b-like transcription src3c.pk019.d4:fis soybean [Glycine 135, 136
      factor max]
      Hap5c-like transcription sls1c.pk032.j4:fis soybean [Glycine 137, 138
      factor max]
      Hap5 transcription factor wdk2c.pk009.e4:fis wheat-common 139, 140
      [Triticum aestivum]
      Hap5a-like transcription contig of: wheat-common 141, 142
      factor wlm96.pk036.j11 [Triticum aestivum]
      wlm96.pk060.d5:fis
      Hap5c-like transcription wle1n.pk0076.h7:fis wheat-common 143, 144
      factor [Triticum aestivum]
      LIP 15 transcription factor cco1n.pk068.f18:fis maize [Zea mays] 145, 146
      LIP 15 transcription factor cco1n.pk089.g17:fis maize [Zea mays] 147, 148
      LIP 15 transcription factor rls6.pk0066.c9:fis rice [Oryza sativa] 149, 150
      LIP 15 transcription factor sdp4c.pk009.e3:fis soybean [Glycine 151, 152
      max]
      LIP 15 transcription factor sdp3c.pk019.n1:fis soybean [Glycine 153, 154
      max]
      LIP 15 transcription factor wl1n.pk0114.f9:fis wheat-common 155, 156
      [Triticum aestivum]
      Ca2+ EF Hand Protein ccase-b.pk0003.b9:fis maize [Zea mays] 157, 158
      Ca2+ EF Hand Protein ceb5.pk0081.b4 maize [Zea mays] 159, 160
      Ca2+ EF Hand Protein cbn10.pk0064.e6 maize [Zea mays] 161, 162
      Ca2+ EF Hand Protein cml1c.pk001.e2 maize [Zea mays] 163, 164
      Ca2+ EF Hand Protein cml1c.pk001.e2:fis maize [Zea mays] 498, 499
      Ca2+ EF Hand Protein cpd1c.pk008.e21 maize [Zea mays] 165, 166
      Ca2+ EF Hand Protein cpd1c.pk008.e21:fis maize [Zea mays] 500, 501
      Ca2+ EF Hand Protein cta1n.pk0074.h11 maize [Zea mays] 167, 168
      Ca2+ EF Hand Protein cta1n.pk0074.h11:fis maize [Zea mays] 502, 503
      Ca2+ EF Hand Protein p0031.ccmbc81r maize [Zea mays] 169, 170
      Ca2+ EF Hand Protein p0031.ccmbc81r:fis maize [Zea mays] 504, 505
      Ca2+ EF Hand Protein p0134.carah47r maize [Zea mays] 171, 172
      Ca2+ EF Hand Protein p0134.carah47r:fis maize [Zea mays] 506, 507
      Ca2+ EF Hand Protein rca1n.pk021.i20 rice [Oryza sativa] 173, 174
      Ca2+ EF Hand Protein rca1n.pk004.j14:fis rice [Oryza sativa] 175, 176
      Ca2+ EF Hand Protein rca1n.pk026.m9 rice [Oryza sativa] 177, 178
      Ca2+ EF Hand Protein rsl1n.pk013.g2:fis rice [Oryza sativa] 179, 180
      Ca2+ EF Hand Protein sfl1.pk131.j19 soybean [Glycine 181, 182
      max]
      Ca2+ EF Hand Protein sfl1.pk131.j19:fis soybean [Glycine 512, 513
      max]
      Ca2+ EF Hand Protein sfl1.pk135.g3 soybean [Glycine 183, 184
      max]
      Ca2+ EF Hand Protein sfl1.pk135.g3:fis soybean [Glycine 514, 515
      max]
      Ca2+ EF Hand Protein sgc5c.pk001.h16 soybean [Glycine 185, 186
      max]
      Ca2+ EF Hand Protein sls1c.pk020.h24 soybean [Glycine 187, 188
      max]
      Ca2+ EF Hand Protein sls1c.pk020.h24:fis soybean [Glycine 516, 517
      max]
      Ca2+ EF Hand Protein sr1.pk0041.a11 soybean [Glycine 189, 190
      max]
      Ca2+ EF Hand Protein sr1.pk0041.a11:fis soybean [Glycine 518, 519
      max]
      Ca2+ EF Hand Protein sr1.pk0049.c2 soybean [Glycine 191, 192
      max]
      Ca2+ EF Hand Protein sr1.pk0049.c2:fis soybean [Glycine 520, 521
      max]
      Ca2+ EF Hand Protein wdk5c.pk006.m13 wheat-common 193, 194
      [Triticum aestivum]
      Ca2+ EF Hand Protein wdk5c.pk006.m13:fis wheat-common 522, 523
      [Triticum aestivum]
      Ca2+ EF Hand Protein wdk9n.pk001.k5 wheat-common 195, 196
      [Triticum aestivum]
      Ca2+ EF Hand Protein wdk9n.pk001.k5:fis wheat-common 524, 525
      [Triticum aestivum]
      Ca2+ EF Hand Protein wdr1f.pk003.b21 wheat-common 197, 198
      [Triticum aestivum]
      Ca2+ EF Hand Protein wdr1f.pk003.b21:fis wheat-common 526, 527
      [Triticum aestivum]
      ATP Citrate Lyase cdo1c.pk001.c1:fis maize [Zea mays] 199, 200
      subunit 1
      ATP Citrate Lyase ctn1c.pk002.o4 maize [Zea mays] 201, 202
      subunit 2
      ATP Citrate Lyase p0032.crcav77r:fis maize [Zea mays] 203, 204
      subunit 2
      ATP Citrate Lyase p0037.crwbs90r:fis maize [Zea mays] 205, 206
      subunit 1
      ATP Citrate Lyase r10n.pk0015.a4:fis rice [Oryza sativa] 207, 208
      subunit 1
      ATP Citrate Lyase rlr2.pk0012.d2 rice [Oryza sativa] 209, 210
      subunit 1
      ATP Citrate Lyase rr1.pk097.f22:fis rice [Oryza sativa] 211, 212
      subunit 1
      ATP Citrate Lyase rls6.pk0033.a9:fis rice [Oryza sativa] 213, 214
      subunit 2
      ATP Citrate Lyase sdp2c.pk023.n6:fis soybean [Glycine 215, 216
      subunit 2 max]
      ATP Citrate Lyase sfl1.pk0029.h10:fis soybean [Glycine 217, 218
      subunit 1 max]
      ATP Citrate Lyase sic1c.pk003.o13:fis soybean [Glycine 219, 220
      subunit 2 max]
      ATP Citrate Lyase sls1c.pk010.l1:fis soybean [Glycine 221, 222
      subunit 1 max]
      ATP Citrate Lyase sls2c.pk007.c23:fis soybean [Glycine 223, 224
      subunit 2 max]
      ATP Citrate Lyase src2c.pk009.g9:fis soybean [Glycine 225, 226
      subunit 2 max]
      ATP Citrate Lyase wde1f.pk003.h2:fis wheat-common 227, 228
      subunit 2 [Triticum aestivum]
      ATP Citrate Lyase wia1c.pk001.d20:fis wheat-common 229, 230
      subunit 1 [Triticum aestivum]
      ATP Citrate Lyase wlm96.pk035.j11:fis wheat-common 231, 232
      subunit 2 [Triticum aestivum]
      SNF1 cen3n.pk0044.b8:fis maize [Zea mays] 233, 234
      SNF1 p0016.ctsbf56rb maize [Zea mays] 235, 236
      SNF1 p0118.chsbh89r maize [Zea mays] 237, 238
      SNF1 contig of: maize [Zea mays] 239, 240
      cen3n.pk0123.g6
      cho1lc.pk021.k16
      cmm.pk007.c3
      p0019.clwab.75rb
      p0119.cmtmj75r
      p0123.cammbc73r
      p0126.cnlds35r
      SNF1 contig of: rice [Oryza sativa] 241, 242
      rda.pk0007.g3
      rr1.pk0008.e12
      rr1.pk0047.g12
      SNF1 rr1.pk0047.g12:fis rice [Oryza sativa] 243, 244
      SNF1 sdr1f.pk001.p7 soybean [Glycine 247, 248
      max]
      SNF1 sgs4c.pk006.g6 soybean [Glycine 249, 250
      max]
      SNF1 sgs4c.pk006.n21 soybean [Glycine 251, 252
      max]
      SNF1 sgs4c.pk016.e10 soybean[Glycine 245, 246
      max]
      SNF1 srr1c.pk001.i24:fis soybean [Glycine 253, 254
      max]
      SNF1 wdk2c.pk018.c16:fis wheat-common 255, 256
      [Triticum aestivum]
      SNF1 wlm96.pk0007.e4:fis wheat-common 257, 258
      [Triticum aestivum]
      Lec1-embryonic type eas1c.pk003.e16 amaranth 259, 260
      [Amaranthus
      retroflexus]
      Lec1-embryonic type fds1n.pk008.m14 balsam pear 261, 262
      [Momordica
      charantia]
      Lec1-embryonic type p0015.cdpgp75rb:fis maize [Zea mays] 263, 264
      Lec1-embryonic type p0083.clder12r:fis maize [Zea mays] 265, 266
      Lec1-embryonic type pps1c.pk002.l19 prickly poppy 267, 268
      [Argemone
      mexicana]
      Lec1-embryonic type Contig of: soybean [Glycine 269, 270
      scb1c.pk004.j10 max]
      se1.pk0042.d8:fis
      Lec1-embryonic type se2.11d12:fis soybean [Glycine 271, 272
      max]
      Lec1-embryonic type ses2w.pk0015.a4:fis soybean [Glycine 273, 274
      max]
      Lec1-embryonic type vs1n.pk013.m13:fis vernonia [Vernonia 275, 276
      mespilifolia]
      Lec1-embryonic type wdk3c.pk023.h15:fis wheat-common 277, 278
      [Triticum aestivum]
      Lec1-related CCAAT ect1c.pk007.p18:fis Canna [Canna 279, 280
      binding protein edulis]
      Lec1-related CCAAT fds.pk0003.h5:fis balsam pear 281, 282
      binding protein [Momordica
      charantia]
      Lec1-related CCAAT eef1c.pk004.c8:fis eucalyptus 283, 284
      binding protein [Eucalyptus
      grandis]
      Lec1-related CCAAT cbn10.pk0005.e6:fis maize [Zea mays] 285, 286
      binding protein
      Lec1-related CCAAT p0006.cbysa51r:fis maize [Zea mays] 287, 288
      binding protein
      Lec1-related CCAAT rl0n.pk0061.c8:fis rice [Oryza sativa] 289, 290
      binding protein
      Lec1-related CCAAT rsl1n.pk002.g10:fis rice [Oryza sativa] 291, 292
      binding protein
      Lec1-related CCAAT ses4d.pk0037.e3:fis soybean [Glycine 293, 294
      binding protein max]
      Lec1-related CCAAT src2c.pk003.i13:fis soybean [Glycine 295, 296
      binding protein max]
      Lec1-related CCAAT src2c.pk011.m12:fis soybean [Glycine 297, 298
      binding protein max]
      Lec1-related CCAAT src2c.pk025.b3:fis soybean [Glycine 299, 300
      binding protein max]
      Lec1-related CCAAT src3c.pk028.j21:fis soybean [Glycine 301, 302
      binding protein max]
      Lec1-related CCAAT wkm1c.pk0002.d7:fis wheat-common 303, 304
      binding protein [Triticum aestivum]
      Lec1-related CCAAT wlk8.pk0001.e10:fis wheat-common 305, 306
      binding protein [Triticum aestivum]
      Lec1-related CCAAT wlm96.pk037.k9:fis wheat-common 307, 308
      binding protein [Triticum aestivum]
      CKC type fds1n.pk015.l15 balsam pear 309, 310
      6(Aintegumenta) [Momordica
      charantia]
      CKC type fds1n.pk015.l15:fis balsam pear 476, 477
      6(Aintegumenta) [Momordica
      charantia]
      CKC type contig of: castor bean 311, 312
      2(Aintegumenta) ece1c.pk003.g23 [Ricinus
      ece1c.pk005.j13 communis]
      CKC type ece1c.pk003.g23:fis castor bean 478, 479
      2(Aintegumenta) [Ricinus
      communis]
      CKC type ids.pk0022.b6 garden balsam 313, 314
      8(Aintegumenta) [Impatiens
      balsamia]
      CKC type contig of: maize [Zea mays] 315, 316
      1(Aintegumenta) cpd1c.pk011.i5
      p0086.cbsaa24r:fis
      CKC type cpd1c.pk011.i5:fis maize [Zea mays] 317, 318
      1(Aintegumenta)
      CKC type cde1c.pk003.o22:fis maize [Zea mays] 319, 320
      2(Aintegumenta)
      CKC type cho1c.pk003.f17:fis maize [Zea mays] 321, 322
      2(Aintegumenta)
      CKC type contig of: maize [Zea mays] 323, 324
      5(Aintegumenta) cds1f.pk003.b12
      clm1f.pk002.o13:fis
      CKC type p0015.cdpfn03r maize [Zea mays] 325, 326
      3(Aintegumenta)
      CKC type contig of: maize [Zea mays] 327, 328
      3(Aintegumenta) cc71se-a.pk0002.e11
      p0027.cgsag51r:fis
      CKC type p0031.ccmau15r:fis maize [Zea mays] 329, 330
      6(Aintegumenta)
      CKC type cc71se- maize [Zea mays] 331, 332
      8(Aintegumenta) b.pk0018.e4:fis
      CKC type cpj1c.pk005.m20:fis maize [Zea mays] 333, 334
      7(Aintegumenta)
      CKC type ncs.pk0013.a9:fis Catalpa speciosa 484, 485
      7(Aintegumenta)
      CKC type egh1c.pk005.k20:fis maize [Zea mays] 486, 487
      8(Aintegumenta)
      CKC type cen7f.pk002.m15 maize [Zea mays] 335, 336
      8(Aintegumenta)
      CKC type cde1c.pk003.n23:fis maize [Zea mays] 488, 489
      8(Aintegumenta)
      CKC type rsl1n.pk006.n24:fis rice [Oryza sativa] 337, 338
      8(Aintegumenta)
      CKC type contig of: rice [Oryza sativa] 339, 340
      8(Aintegumenta) rca1n.pk019.p10
      rsl1n.pk002.j2:fis
      CKC type rdi2c.pk009.a15 rice [Oryza sativa] 341, 342
      1(Aintegumenta)
      CKC type sds1f.pk001.f7:fis soybean [Glycine 343, 344
      2(Aintegumenta) max]
      CKC type se3.pk0034.a3 soybean [Glycine 345, 346
      2(Aintegumenta) max]
      CKC type ses2w.pk0035.a9:fis soybean [Glycine 347, 348
      6(Aintegumenta) max]
      CKC type ses4d.pk0043.d10:fis soybean [Glycine 349, 350
      4(Aintegumenta) max]
      CKC type scb1c.pk004.n19:fis soybean [Glycine 351, 352
      5(Aintegumenta) max]
      CKC type ses4d.pk0006.a12:fis soybean [Glycine 353, 354
      5(Aintegumenta) max]
      CKC type sgs1c.pk004.f19:fis soybean [Glycine 355, 356
      5(Aintegumenta) max]
      CKC type sic1c.pk003.o18:fis soybean [Glycine 357, 358
      8(Aintegumenta) max]
      CKC type sde4c.pk0001.a2 soybean [Glycine 359, 360
      8(Aintegumenta) max]
      CKC type sde4c.pk0001.a2:fis soybean [Glycine 490, 491
      8(Aintegumenta) max]
      CKC type ses2w.pk0012.d10:fis soybean [Glycine 361, 362
      3(Aintegumenta) max]
      CKC type contig of: wheat-common 363, 364
      1(Aintegumenta) wde1f.pk001h1 [Triticum aestivum]
      wr1.pk148.f7:fis
    • [0073]
      The Sequence Listing contains the one letter code for nucleotide sequence characters and the three letter codes for amino acids as defined in conformity with the IUPAC-IUBMB standards described in Nucleic Acids Res. 13:3021-3030 (1985) and in the Biochemical J. 219 (No. 2):345-373 (1984) which are herein incorporated by reference. The symbols and format used for nucleotide and amino acid sequence data comply with the rules set forth in 37 C.F.R. §1.822.
    • DETAILED DESCRIPTION OF THE INVENTION
    • [0074]
      All patents, patent applications and publications which are referred to herein are incorporated by reference in their entirety.
    • [0075]
      As used herein, an “isolated nucleic acid fragment” is a polymer of RNA or DNA that is single- or double-stranded, optionally containing synthetic, non-natural or altered nucleotide bases. An isolated nucleic acid fragment in the form of a polymer of DNA may be comprised of one or more segments of cDNA, genomic DNA or synthetic DNA. Nucleotides (usually found in their 5′-monophosphate form) are referred to by their single letter designation as follows: “A” for adenylate or deoxyadenylate (for RNA or DNA, respectively), “C” for cytidylate or deoxycytidylate, “G” for guanylate or deoxyguanylate, “U” for uridylate, “T” for deoxythymidylate, “R” for purines (A or G), “Y” for pyrimidines (C or T), “K” for g or T, “H” for A or C or T, “I” for inosine, and “N” for any nucleotide.
    • [0076]
      The terms “subfragment that is functionally equivalent” and “functionally equivalent subfragment” are used interchangeably herein. These terms refer to a portion or subsequence of an isolated nucleic acid fragment in which the ability to alter gene expression or produce a certain phenotype is retained whether or not the fragment or subfragment encodes an active enzyme. For example, the fragment or subfragment can be used in the design of chimeric genes to produce the desired phenotype in a transformed plant. Chimeric genes can be designed for use in co-suppression or antisense by linking a nucleic acid fragment or subfragment thereof, whether or not it encodes an active enzyme, in the appropriate orientation relative to a plant promoter sequence.
    • [0077]
      The terms “homology”, “homologous”, “substantially similar” and “corresponding substantially” are used interchangeably herein. They refer to nucleic acid fragments wherein changes in one or more nucleotide bases does not affect the ability of the nucleic acid fragment to mediate gene expression or produce a certain phenotype. These terms also refer to modifications of the nucleic acid fragments of the instant invention such as deletion or insertion of one or more nucleotides that do not substantially alter the functional properties of the resulting nucleic acid fragment relative to the initial, unmodified fragment. It is therefore understood, as those skilled in the art will appreciate, that the invention encompasses more than the specific exemplary sequences.
    • [0078]
      Moreover, the skilled artisan recognizes that substantially similar nucleic acid sequences encompassed by this invention are also defined by their ability to hybridize, under moderately stringent conditions (for example, 0.5×SSC, 0.1% SDS, 60° C.) with the sequences exemplified herein, or to any portion of the nucleotide sequences reported herein and which are functionally equivalent to the promoter of the invention. Stringency conditions can be adjusted to screen for moderately similar fragments, such as homologous sequences from distantly related organisms, to highly similar fragments, such as genes that duplicate functional enzymes from closely related organisms. Post-hybridization washes determine stringency conditions. One set of preferred conditions involves a series of washes starting with 6×SSC, 0.5% SDS at room temperature for 15 min, then repeated with 2×SSC, 0.5% SDS at 45° C. for 30 min, and then repeated twice with 0.2×SSC, 0.5% SDS at 50° C. for 30 min. A more preferred set of stringent conditions involves the use of higher temperatures in which the washes are identical to those above except for the temperature of the final two 30 min washes in 0.2×SSC, 0.5% SDS was increased to 60° C. Another preferred set of highly stringent conditions involves the use of two final washes in 0.1×SSC, 0.1% SDS at 65° C.
    • [0079]
      With respect to the degree of substantial similarity between the target (endogenous) mRNA and the RNA region in the construct having homology to the target mRNA, such sequences should be at least 25 nucleotides in length, preferably at least 50 nucleotides in length, more preferably at least 100 nucleotides in length, again more preferably at least 200 nucleotides in length, and most preferably at least 300 nucleotides in length; and should be at least 80% identical, preferably at least 85% identical, more preferably at least 90% identical, and most preferably at least 95% identical.
    • [0080]
      Sequence alignments and percent similarity calculations may be determined using a variety of comparison methods designed to detect homologous sequences including, but not limited to, the Megalign program of the LASARGENE bioinformatics computing suite (DNASTAR Inc., Madison, Wis.). Multiple alignment of the sequences are performed using the Clustal method of alignment (Higgins and Sharp (1989) CABIOS. 5:151-153) with the default parameters (GAP PENALTY=10, GAP LENGTH PENALTY=10). Default parameters for pairwise alignments and calculation of percent identity of protein sequences using the Clustal method are KTUPLE=1, GAP PENALTY=3, WINDOW=5 and DIAGONALS SAVED=5. For nucleic acids these parameters are KTUPLE=2, GAP PENALTY=5, WINDOW=4 and DIAGONALS SAVED=4.
    • [0081]
      A “substantial portion” of an amino acid or nucleotide sequence comprises an amino acid or a nucleotide sequence that is sufficient to afford putative identification of the protein or gene that the amino acid or nucleotide sequence comprises. Amino acid and nucleotide sequences can be evaluated either manually by one skilled in the art, or by using computer-based sequence comparison and identification tools that employ algorithms such as BLAST (Basic Local Alignment Search Tool; Altschul et al (1993) J. Mol. Biol. 215:403-410; see also www.ncbi.nlm.nih.gov/BLAST/). In general, a sequence of ten or more contiguous amino acids or thirty or more contiguous nucleotides is necessary in order to putatively identify a polypeptide or nucleic acid sequence as homologous to a known protein or gene. Moreover, with respect to nucleotide sequences, gene-specific oligonucleotide probes comprising 30 or more contiguous nucleotides may be used in sequence-dependent methods of gene identification (e.g., Southern hybridization) and isolation (e.g., in situ hybridization of bacterial colonies or bacteriophage plaques). In addition, short oligonucleotides of 12 or more nucleotides may be used as amplification primers in PCR in order to obtain a particular nucleic acid fragment comprising the primers. Accordingly, a “substantial portion” of a nucleotide sequence comprises a nucleotide sequence that will afford specific identification and/or isolation of a nucleic acid fragment comprising the sequence. The instant specification teaches amino acid and nucleotide sequences encoding polypeptides that comprise one or more particular plant proteins. The skilled artisan, having the benefit of the sequences as reported herein, may now use all or a substantial portion of the disclosed sequences for purposes known to those skilled in this art. Accordingly, the instant invention comprises the complete sequences as reported in the accompanying Sequence Listing, as well as substantial portions of those sequences as defined above.
    • [0082]
      “Codon degeneracy” refers to divergence in the genetic code permitting variation of the nucleotide sequence without effecting the amino acid sequence of an encoded polypeptide. Accordingly, the instant invention relates to any nucleic acid fragment comprising a nucleotide sequence that encodes all or a substantial portion of the amino acid sequences set forth herein. The skilled artisan is well aware of the “codon-bias” exhibited by a specific host cell in usage of nucleotide codons to specify a given amino acid. Therefore, when synthesizing a nucleic acid fragment for improved expression in a host cell, it is desirable to design the nucleic acid fragment such that its frequency of codon usage approaches the frequency of preferred codon usage of the host cell.
    • [0083]
      “Synthetic nucleic acid fragments” can be assembled from oligonucleotide building blocks that are chemically synthesized using procedures known to those skilled in the art. These building blocks are ligated and annealed to form larger nucleic acid fragments which may then be enzymatically assembled to construct the entire desired nucleic acid fragment. “Chemically synthesized”, as related to a nucleic acid fragment, means that the component nucleotides were assembled in vitro. Manual chemical synthesis of nucleic acid fragments may be accomplished using well established procedures, or automated chemical synthesis can be performed using one of a number of commercially available machines. Accordingly, the nucleic acid fragments can be tailored for optimal gene expression based on optimization of the nucleotide sequence to reflect the codon bias of the host cell. The skilled artisan appreciates the likelihood of successful gene expression if codon usage is biased towards those codons favored by the host. Determination of preferred codons can be based on a survey of genes derived from the host cell where sequence information is available.
    • [0084]
      “Gene” refers to a nucleic acid fragment that expresses a specific protein, including regulatory sequences preceding (5′ non-coding sequences) and following (3′ non-coding sequences) the coding sequence. “Native gene” refers to a gene as found in nature with its own regulatory sequences. The term “chimeric gene” and “chimeric construct” are used interchangeably herein. A chimeric construct comprises an artificial combination of nucleic acid fragments, e.g., regulatory and coding sequences that are not found together in nature. For example, a chimeric construct may comprise regulatory sequences and coding sequences that are derived from different sources, or regulatory sequences and coding sequences derived from the same source, but arranged in a manner different than that found in nature. A “foreign” gene refers to a gene not normally found in the host organism, but that is introduced into the host organism by gene transfer. Foreign genes can comprise native genes inserted into a non-native organism, or chimeric genes. A “transgene” is a gene that has been introduced into the genome by a transformation procedure.
    • [0085]
      “Coding sequence” refers to a DNA sequence that codes for a specific amino acid sequence. “Regulatory sequences” refer to nucleotide sequences located upstream (5′ non-coding sequences), within, or downstream (3′ non-coding sequences) of a coding sequence, and which influence the transcription, RNA processing or stability, or translation of the associated coding sequence. Regulatory sequences may include, but are not limited to, promoters, translation leader sequences, introns, and polyadenylation recognition sequences.
    • [0086]
      “Promoter” refers to a DNA sequence capable of controlling the expression of a coding sequence or functional RNA. The promoter sequence consists of proximal and more distal upstream elements, the latter elements often referred to as enhancers. Accordingly, an “enhancer” is a DNA sequence which can stimulate promoter activity and may be an innate element of the promoter or a heterologous element inserted to enhance the level or tissue-specificity of a promoter. Promoters may be derived in their entirety from a native gene, or be composed of different elements derived from different promoters found in nature, or even comprise synthetic DNA segments. It is understood by those skilled in the art that different promoters may direct the expression of a gene in different tissues or cell types, or at different stages of development, or in response to different environmental conditions. Promoters which cause a gene to be expressed in most cell types at most times are commonly referred to as “constitutive promoters”. New promoters of various types useful in plant cells are constantly being discovered; numerous examples may be found in the compilation by Okamuro and Goldberg, (1989) Biochemistry of Plants 15:1-82. It is further recognized that since in most cases the exact boundaries of regulatory sequences have not been completely defined, DNA fragments of some variation may have identical promoter activity.
    • [0087]
      An “intron” is an intervening sequence in a gene that does not encode a portion of the protein sequence. Thus, such sequences are transcribed into RNA but are then excised and are not translated. The term is also used for the excised RNA sequences. An “exon” is a portion of the sequence of a gene that is transcribed and is found in the mature messenger RNA derived from the gene, but is not necessarily a part of the sequence that encodes the final gene product.
    • [0088]
      The “translation leader sequence” refers to a DNA sequence located between the promoter sequence of a gene and the coding sequence. The translation leader sequence is present in the fully processed mRNA upstream of the translation start sequence. The translation leader sequence may affect processing of the primary transcript to mRNA, mRNA stability or translation efficiency. Examples of translation leader sequences have been described (Turner, R. and Foster, G. D. (1995) Molecular Biotechnology 3:225).
    • [0089]
      The “3′ non-coding sequences” refer to DNA sequences located downstream of a coding sequence and include polyadenylation recognition sequences and other sequences encoding regulatory signals capable of affecting mRNA processing or gene expression. The polyadenylation signal is usually characterized by affecting the addition of polyadenylic acid tracts to the 3′ end of the mRNA precursor. The use of different 3′ non-coding sequences is exemplified by Ingelbrecht et al, (1989) Plant Cell 1:671-680.
    • [0090]
      “RNA transcript” refers to the product resulting from RNA polymerase-catalyzed transcription of a DNA sequence. When the RNA transcript is a perfect complementary copy of the DNA sequence, it is referred to as the primary transcript or it may be a RNA sequence derived from post-transcriptional processing of the primary transcript and is referred to as the mature RNA. “Messenger RNA (mRNA)” refers to the RNA that is without introns and that can be translated into protein by the cell. “cDNA” refers to a DNA that is complementary to and synthesized from a mRNA template using the enzyme reverse transcriptase. The cDNA can be single-stranded or converted into the double-stranded form using the Klenow fragment of DNA polymerase I. “Sense” RNA refers to RNA transcript that includes the mRNA and can be translated into protein within a cell or in vitro. “Antisense RNA” refers to an RNA transcript that is complementary to all or part of a target primary transcript or mRNA and that blocks the expression of a target gene (U.S. Pat. No. 5,107,065). The complementarity of an antisense RNA may be with any part of the specific gene transcript, i.e., at the 5′ non-coding sequence, 3′ non-coding sequence, introns, or the coding sequence. “Functional RNA” refers to antisense RNA, ribozyme RNA, or other RNA that may not be translated but yet has an effect on cellular processes. The terms “complement” and “reverse complement” are used interchangeably herein with respect to mRNA transcripts, and are meant to define the antisense RNA of the message.
    • [0091]
      The term “endogenous RNA” refers to any RNA which is encoded by any nucleic acid sequence present in the genome of the host prior to transformation with the recombinant construct of the present invention, whether naturally-occurring or non-naturally occurring, i.e., introduced by recombinant means, mutagenesis, etc.
    • [0092]
      The term “non-naturally occurring” means artificial, not consistent with what is normally found in nature.
    • [0093]
      The term “operably linked” refers to the association of nucleic acid sequences on a single nucleic acid fragment so that the function of one is regulated by the other. For example, a promoter is operably linked with a coding sequence when it is capable of regulating the expression of that coding sequence (i.e., that the coding sequence is under the transcriptional control of the promoter). Coding sequences can be operably linked to regulatory sequences in a sense or antisense orientation. In another example, the complementary RNA regions of the invention can be operably linked, either directly or indirectly, 5′ to the target mRNA, or 3′ to the target mRNA, or within the target mRNA, or a first complementary region is 5′ and its complement is 3′ to the target mRNA.
    • [0094]
      The term “expression”, as used herein, refers to the production of a functional end-product. Expression of a gene involves transcription of the gene and translation of the mRNA into a precursor or mature protein. “Antisense inhibition” refers to the production of antisense RNA transcripts capable of suppressing the expression of the target protein. “Co-suppression” refers to the production of sense RNA transcripts capable of suppressing the expression of identical or substantially similar foreign or endogenous genes (U.S. Pat. No. 5,231,020).
    • [0095]
      “Mature” protein refers to a post-translationally processed polypeptide; i.e., one from which any pre- or propeptides present in the primary translation product have been removed. “Precursor” protein refers to the primary product of translation of mRNA; i.e., with pre- and propeptides still present. Pre- and propeptides may be but are not limited to intracellular localization signals.
    • [0096]
      “Stable transformation” refers to the transfer of a nucleic acid fragment into a genome of a host organism, including both nuclear and organellar genomes, resulting in genetically stable inheritance. In contrast, “transient transformation” refers to the transfer of a nucleic acid fragment into the nucleus, or DNA-containing organelle, of a host organism resulting in gene expression without integration or stable inheritance. Host organisms containing the transformed nucleic acid fragments are referred to as “transgenic” organisms. The preferred method of cell transformation of rice, corn and other monocots is the use of particle-accelerated or “gene gun” transformation technology (Klein et al, (1987) Nature (London) 327:70-73; U.S. Pat. No. 4,945,050), or an Agrobacterium-mediated method using an appropriate Ti plasmid containing the transgene (Ishida Y. et al, 1996, Nature Biotech. 14:745-750). The term “transformation” as used herein refers to both stable transformation and transient transformation.
    • [0097]
      Standard recombinant DNA and molecular cloning techniques used herein are well known in the art and are described more fully in Sambrook, J., Fritsch, E. F. and Maniatis, T. Molecular Cloning: A Laboratory Manual; Cold Spring Harbor Laboratory Press: Cold Spring Harbor, 1989 (hereinafter “Sambrook”).
    • [0098]
      The term “recombinant” means, for example, that a nucleic acid sequence is made by an artificial combination of two otherwise separated segments of sequence, e.g., by chemical synthesis or by the manipulation of isolated nucleic acids by genetic engineering techniques. A “recombinant DNA construct” comprises an isolated polynucleotide operably linked to at least one regulatory sequence. The term also embraces an isolated polynucleotide comprising a region encoding all or part of a functional RNA and at least one of the naturally occurring regulatory sequences directing expression in the source (e.g., organism) from which the polynucleotide was isolated, such as, but not limited to, an isolated polynucleotide comprising a nucleotide sequence encoding a herbicide resistant target gene and the corresponding promoter and 3′ end sequences directing expression in the source from which sequences were isolated.
    • [0099]
      A “transgene” is a recombinant DNA construct that has been introduced into the genome by a transformation procedure.
    • [0100]
      As used herein, “contig” refers to a nucleotide sequence that is assembled from two or more constituent nucleotide sequences that share common or overlapping regions of sequence homology. For example, the nucleotide sequences of two or more nucleic acid fragments can be compared and aligned in order to identify common or overlapping sequences. Where common or overlapping sequences exist between two or more nucleic acid fragments, the sequences (and thus their corresponding nucleic acid fragments) can be assembled into a single contiguous nucleotide sequence.
    • [0101]
      “PCR” or “Polymerase Chain Reaction” is a technique for the synthesis of large quantities of specific DNA segments, consists of a series of repetitive cycles (Perkin Elmer Cetus Instruments, Norwalk, Conn.). Typically, the double stranded DNA is heat denatured, the two primers complementary to the 3′ boundaries of the target segment are annealed at low temperature and then extended at an intermediate temperature. One set of these three consecutive steps is referred to as a cycle.
    • [0102]
      The terms “recombinant construct”, “expression construct”, “recombinant expression construct”, “chimeric construct” and “chimeric gene” are used interchangeably herein. Such construct may be itself or may be used in conjunction with a vector. If a vector is used then the choice of vector is dependent upon the method that will be used to transform host plants as is well known to those skilled in the art. For example, a plasmid vector can be used. The skilled artisan is well aware of the genetic elements that must be present on the vector in order to successfully transform, select and propagate host cells comprising any of the isolated nucleic acid fragments of the invention. The skilled artisan will also recognize that different independent transformation events will result in different levels and patterns of expression (Jones et al, (1985) EMBO J. 4:2411-2418; De Almeida et al, (1989) Mol. Gen. Genetics 218:78-86), and thus that multiple events must be screened in order to obtain lines displaying the desired expression level and pattern. Such screening may be accomplished by Southern analysis of DNA, Northern analysis of mRNA expression, Western analysis of protein expression, or phenotypic analysis.
    • [0103]
      Co-suppression constructs in plants previously have been designed by focusing on overexpression of a nucleic acid sequence having homology to an endogenous mRNA, in the sense orientation, which results in the reduction of all RNA having homology to the overexpressed sequence (see Vaucheret et al (1998) Plant J 16:651-659; and Gura (2000) Nature 404:804-808). The overall efficiency of this phenomenon is low, and the extent of the RNA reduction is widely variable. Recent work has described the use of “hairpin” structures that incorporate all, or part, of an mRNA encoding sequence in a complementary orientation that results in a potential “stem-loop” structure for the expressed RNA (PCT Publication WO 99/53050 published on Oct. 21, 1999). This increases the frequency of co-suppression in the recovered transgenic plants. Another variation describes the use of plant viral sequences to direct the suppression, or “silencing”, of proximal mRNA encoding sequences (PCT Publication WO 98/36083 published on Aug. 20, 1998). Both of these co-suppressing phenomena have not been elucidated mechanistically, although recent genetic evidence has begun to unravel this complex situation (Elmayan et al (1998) Plant Cell 10:1747-1757).
    • [0104]
      Alternatively, a chimeric gene designed to express antisense RNA for all or part of the instant nucleic acid fragment can be constructed by linking the gene or gene fragment in reverse orientation to plant promoter sequences. Either the co-suppression or antisense chimeric genes could be introduced into plants via transformation wherein expression of the corresponding endogenous genes are reduced or eliminated.
    • [0105]
      Molecular genetic solutions to the generation of plants with altered gene expression have a decided advantage over more traditional plant breeding approaches. Changes in plant phenotypes can be produced by specifically inhibiting expression of one or more genes by antisense inhibition or cosuppression (U.S. Pat. Nos. 5,190,931, 5,107,065 and 5,283,323). An antisense or cosuppression construct would act as a dominant negative regulator of gene activity. While conventional mutations can yield negative regulation of gene activity these effects are most likely recessive. The dominant negative regulation available with a transgenic approach may be advantageous from a breeding perspective. In addition, the ability to restrict the expression of a specific phenotype to the reproductive tissues of the plant by the use of tissue specific promoters may confer agronomic advantages relative to conventional mutations which may have an effect in all tissues in which a mutant gene is ordinarily expressed.
    • [0106]
      The person skilled in the art will know that special considerations are associated with the use of antisense or cosuppression technologies in order to reduce expression of particular genes. For example, the proper level of expression of sense or antisense genes may require the use of different chimeric constructs utilizing different regulatory elements known to the skilled artisan. Once transgenic plants are obtained by one of the methods described above, it will be necessary to screen individual transgenics for those that most effectively display the desired phenotype. Accordingly, the skilled artisan will develop methods for screening large numbers of transformants. The nature of these screens will generally be chosen on practical grounds. For example, one can screen by looking for changes in gene expression by using antibodies specific for the protein encoded by the gene being suppressed, or one could establish assays that specifically measure enzyme activity. A preferred method will be one which allows large numbers of samples to be processed rapidly, since it will be expected that a large number of transformants will be negative for the desired phenotype.
    • [0107]
      Loss of function mutant phenotypes may be identified for the instant cDNA clones either by targeted gene disruption protocols or by identifying specific mutants for these genes contained in a maize population carrying mutations in all possible genes (Ballinger and Benzer (1989) Proc. Natl. Acad. Sci USA 86:9402-9406; Koes et al (1995) Proc. Natl. Acad. Sci USA 92:8149-8153; Bensen et al (1995) Plant Cell 7:75-84). The latter approach may be accomplished in two ways. First, short segments of the instant nucleic acid fragments may be used in polymerase chain reaction protocols in conjunction with a mutation tag sequence primer on DNAs prepared from a population of plants in which Mutator transposons or some other mutation-causing DNA element has been introduced (see Bensen, supra). The amplification of a specific DNA fragment with these primers indicates the insertion of the mutation tag element in or near the plant gene encoding the instant polypeptides. Alternatively, the instant nucleic acid fragment may be used as a hybridization probe against PCR amplification products generated from the mutation population using the mutation tag sequence primer in conjunction with an arbitrary genomic site primer, such as that for a restriction enzyme site-anchored synthetic adaptor. With either method, a plant containing a mutation in the endogenous gene encoding the instant polypeptides can be identified and obtained. This mutant plant can then be used to determine or confirm the natural function of the instant polypeptides disclosed herein.
    • [0108]
      The terms Hap3, Lec1, and Hap3/Lec1 are used interchangeably herein and refer to a class of transcription factors. The Hap3/Lec1 class is part of a broader family that includes other transcription factors such as Hap5, Hap2, and Lec1-CCAAT. The terms Hap3-like, Lec1-like, Hap3/Lec1-like, Hap5-like, Hap2-like, Lec1-CCAAT-like, etc. refer to any transcription factors that share sequence identity as disclosed herein and/or functionality with the nucleotide sequences and the corresponding amino acid sequences encoded by such nucleotide sequences disclosed in the present invention.
    • [0109]
      Similarly, LIP15, SNF1, and CKC Aintegumenta are also transcription factors that are believed to alter oil phenotypes in plants. it is believed that MAP kinase 3, receptor-like protein kinase, calcium EF-hand protein and ATP citrate lyase are members of protein families that also influence oil accumulation in plants. The suffix “-like” added to any named nucleic acid or amino acid sequence of the aforementioned families refers to additional members of the respective families that share sequence identity as disclosed herein and/or functionality with the nucleotide sequences and the corresponding amino acid sequences encoded by such nucleotide sequences disclosed in the present invention.
    • [0110]
      Surprisingly and unexpectedly, it has been found that there are a variety of regulatory/structural nucleic acid fragments, which heretofore have not been associated with altering oil phenotype in plants, that appear to be useful in altering oil phenotype in plants. In addition to the CCAAT-binding transcription factors, other proteins which heretofore have not been associated with altering oil phenotype in plants, have been identified. The nucleic acids identified encode a diverse class of regulatory and structural polypeptides whose expression correlates with altered oil phenotypes in plants. Altering the expression of these polypeptides would be expected to have an effect in altering oil accumulation in plants.
    • [0111]
      Other protein classes identified herein include:
    • [0112]
      a receptor-like protein kinase;
    • [0113]
      a MAP kinase 3;
    • [0114]
      a Hap2 transcription factor;
    • [0115]
      a Hap5 transcription factor;
    • [0116]
      a LIP15 transcription factor;
    • [0117]
      a calcium-binding EF-hand protein;
    • [0118]
      an ATP citrate lyase that catalyzes the formation of cytosolic acetyl CoA (Rangasamy and Ratledge (1999) Mol Cell Biol 19:450-460; PCT Publication No. WO 00/00619 published on Jan. 6, 2000, which discloses an Arabidopsis thaliana ATP citrate lyase);
    • [0119]
      a SNF1 transcription factors involved in glucose metabolism;
    • [0120]
      a Hap3/Lec1 or Lec1-CCAAT binding transcription factor; or
    • [0121]
      a seed developmental transcription factor CKC related to an Aintegumenta transcription factor.
    • [0122]
      They can be characterized as an isolated nucleotide fragment comprising a nucleic acid sequence selected from the group consisting of:
    • [0123]
      (a) a nucleic acid sequence encoding a first polypeptide having receptor-like protein kinase activity, the first polypeptide having at least 85% identity based on the Clustal method of alignment when compared to a second polypeptide selected from the group consisting of SEQ ID NOs:2 or 4; or
    • [0124]
      (b) a nucleic acid sequence encoding a third polypeptide having MAP kinase-kinase-kinase activity, the third polypeptide having at least 70% identity based on the Clustal method of alignment when compared to a fourth polypeptide selected from the group consisting of SEQ ID NOs:6, 8, 10, 12, 14, 16, 493, 495, or 497; or
    • [0125]
      (c) a nucleic acid sequence encoding a fifth polypeptide having Hap2-like transcription factor activity, the fifth polypeptide having at least 70% identity based on the Clustal method of alignment when compared to a sixth polypeptide selected from the group consisting of SEQ ID NOs:18, 20, 22, 26, 28, 30, 32, 34, 36, 38, 40, 42, 44, 46, 48, 50, 52, 54, 56, 58, 62, 64, 66, 68, 70, 72, 74, 76, 78, 80, 82, 84, 86, 88, 90, 92, 94, 96, 98, 461, 463, 465, 467, or 469; or
    • [0126]
      (d) a nucleic acid sequence encoding a seventh polypeptide having Hap5-like transcription factor activity, the seventh polypeptide having at least 80% identity based on the Clustal method of alignment when compared to an eighth polypeptide selected from the group consisting of SEQ ID NOs:100, 102, 104, 106, 108, 110, 112, 114, 116, 118, 120, 122, 124, 126, 128, 130, 132, 134, 136, 138, 140, 142, or 144, or 474; or
    • [0127]
      (e) a nucleic acid sequence encoding a ninth polypeptide having LIP15-like transcription factor activity, the ninth polypeptide having at least 85% identity based on the Clustal method of alignment when compared to a tenth polypeptide selected from the group consisting of SEQ ID NOs:148, 152, or 154; or
    • [0128]
      (f) a nucleic acid sequence encoding an eleventh polypeptide caleosin-like activity, the eleventh polypeptide having at least 70% identity based on the Clustal method of alignment when compared to a twelfth polypeptide selected from the group consisting of SEQ ID NOs:158, 160, 162, 164, 166, 168, 170, 172, 174, 176, 178, 180, 182, 184, 186, 188, 190, 192, 194, 196, 198, 499, 501, 503, 505, 507, 509, 511, 513, 515, 517, 519, 521, 523, 525, or 527; or
    • [0129]
      (g) a nucleic acid sequence encoding a thirteenth polypeptide having ATP citrate lyase activity, the thirteenth polypeptide having at least 94% identity based on the Clustal method of alignment when compared to a fourteenth polypeptide selected from the group consisting of SEQ ID NOs:200, 202, 204, 206, 208, 210, 212, 214, 216, 218, 220, 222, 224, 226, 228, 230, or 232; or
    • [0130]
      (h) a nucleic acid sequence encoding a fifteenth polypeptide having SNF1-like activity, the fifteenth polypeptide having at least 90% identity based on the Clustal method of alignment when compared to a sixteenth polypeptide selected from the group consisting of SEQ ID NOs:244, 256, or 258; or
    • [0131]
      (i) a nucleic acid sequence encoding a seventeenth polypeptide having Hap3/Lec1-like activity, the seventeenth polypeptide having at least 70% identity based on the Clustal method of alignment when compared to a eighteenth polypeptide selected from the group consisting of SEQ ID NOs:260, 262, 264, or 266; or
    • [0132]
      (j) a nucleic acid sequence encoding a nineteenth polypeptide having Aintegumenta-like transcription factor activity, the nineteenth polypeptide having at least 88% identity based on the Clustal method of alignment when compared to an twentieth polypeptide selected from the group consisting of SEQ ID NOs:310, 312, 316, 318, 320, 328, 330, 332, 338, 342, 344, 348, 352, 354, 358, 362, 477, 479, 481, 483, 485, 487, 489, or 491.
    • [0133]
      It is understood by one skilled in the art that other percent identity ranges may be useful in the above mentioned characterization. Useful percent identities would include, but not be limited to, 45%, 55%, 60%, 65%, 70%, 75%, 80%, 85%, 90%, 95% and all integer percentages from 45 to 100%.
    • [0134]
      The complement of the nucleotide fragments of this inventions are encompassed within the scope of this invention.
    • [0135]
      Those skilled in the art with also appreciate that the nucleotide fragment of this invention and/or the complement thereof can be used in whole or in part in antisense inhibition or co-suppression of a transformed plant.
    • [0136]
      In a more preferred embodiment, the first polypeptide mentioned above is as follows with respect to each part, the first polypeptide in part (a) is a receptor-like protein kinase (RLK);
    • [0137]
      part (b) is a MAP kinase 3;
    • [0138]
      part (c) is a Hap2 transcription factor;
    • [0139]
      part (d) is a Hap5 transcription factor;
    • [0140]
      part (e) is a LIP15 transcription factor;
    • [0141]
      part (f) is a calcium-binding EF-hand protein;
    • [0142]
      part (g) is an ATP citrate lyase;
    • [0143]
      part (h) is a SNF1 transcription factor part (i) is a Hap3/Lec1 or Lec1-CCAAT binding transcription factor part (j) is a seed development transcription factor similar to Aintegumenta.
    • [0144]
      Plant receptor-like protein kinases (RLKs) constitute a large family of RLKs that are remarkable for their diversity in their structural and functional properties and therefore open a broad area of investigation into cellular signalling in plants with far-reaching implications for the mechanisms by which plant cells perceive and respond to extracellular signals. The plant counterparts of membrane-related protein kinase activity (RLKs) show structural similarity to animal polypeptide growth factor receptors that contain an extracellular ligand-binding domain, a single membrane-spanning region, and a conserved cytoplasmic domain with protein kinase activity. Most of the equivalent animal protein kinase receptors are Tyr kinases, whereas in plants, most of the identified kinase receptors, belong to the family of Ser/Thr protein kinases. Based on the structural similarity of their extracellular region RLKs are classified into three main categories: the S domain class, the LRR class, and the group that carries epidermal growth factor-like repeats (Braun and Walker (1996) Trends Biochem. 21: 70-73). A novel class of receptor kinases containing a taumatin-like domain is related to plant defense proteins (Wang et al (1996) Proc Natl Acad Sci USA 93: 2598-2602). The diversity of structure and array of gene expression patterns different members of the RLK family suggest that they respond to diverse extracellular signals and display different physiological functions. A variety of signalling molecules responsible for the transmission of information downstream from animal receptor tyrosine kinases, have been revealed in animals. In higher plants, evidence has been obtained for the existence of a number of soluble, cytoplasmic serine protein kinases including raf-like protein kinases, elements of the MAPkinase pathway, protein phospatases and G-proteins. It is therefore likely that plant RLKs are components of signalling pathways similar to those described in animals and are involved in regulating a wide range of cellular processes including carbohydrate partitioning (Walker (1994) Plant Mol Biol 26: 1599-1609).
    • [0145]
      ATP-dependent citrate lyase (ACL) enzymes have been found in bacteria (Wahlund and Tabita (1997) J Bacteriol 179: 4859-4867), all animal tissues (Srere (1959) J Biol Chem 234: 2544-2547), some oleaginous yeasts and molds (Guerritore and Honozet (1970) Experientia 26: 28-30. Lowry et al (1951) J Biol Chem 193: 265-275), plants (Fritsch and Beevers (1979) Plant Physiol 63:687-691), and green algae (Chen and Gibbs (1992) Plant Physiol 98: 535-539). The function of this enzyme in eukaryotes is to provide cytosolic acetyl-CoA for biosynthesis of fats, cholesterols, and gangliosides, whereas in bacteria ACL has been found only in organisms, which employ the reductive TCA cycle to assimilate CO2 into cell material. In eukaryotes ACL is a cytosolic enzyme that catalyses the formation of acetyl-CoA and oxaloacetate from coenzyme A and citrate, with concomitant hydrolysis of ATP. Animal ACL polypeptides have a molecular mass of 110-120 kDa and are encoded by a single gene. In plants and filamentous fungi, ACL consists of two different subunits of 70 kDa and 55 kDa, respectively. Acetyl-CoA is the precursor for fatty acid biosynthesis in plastids of plants. Since Acetyl-CoA does not cross the membranes of subcellular compartments, it must be synthesized inside plastids. While the origin of plastid Acetyl-CoA has been subject of much speculation in plant fatty acid biosynthesis, in animals, fungi and yeast, acetyl-CoA is formed from citrate generated in the mitochondria and exported to the cytosol via a tricarbolxylic acid transporter and converted to acetyl-CoA by cytosolic ACL. It has been proposed that ACL is associated in part with the plastids of different plant species (Rangasamy and Ratledge (2000) Plant Physiol 122:1225-1230). In addition it has been shown that ACL activity increases concomitantly with oil biosynthesis during seed development in oilseed rape (Ratledge et al (1997) Lipids 32: 7-12). This suggests that ACL activity might regulate the rate of plant fatty acid synthesis by controlling the rate at which acetyl-CoA is provided for ACCase, similar to what occurs with oleaginous yeasts (Evans and Ratledge (1985) Biotech Genet Eng Rev 3: 349-375). Only recently, researchers were able to successfully overexpress the rat liver ACL in Tobacco leave plastids, with a concomitant increase in total fatty acids (Rangasamy and Ratledge (2000) Plant Physiol 122:1231-1238).
    • [0146]
      Hereupon overexpression of ACL in plastid of plants, the side of de novo fatty acid biosynthesis in plants, may lead to an increase in fatty acid content in the target tissue, in particular when targeted to an oil producing tissue such as the seed.
    • [0147]
      Recently a group of proteins, caleosins, which contain an N-terminal region with a single Ca+2 binding EF-hand domain, a central hydrophobic region with a potential membrane anchor, and a C-terminal region with conserved protein kinase phosphorylation sites was identified in plants (Naestadt et al (2000) Plant Mol Biol 44: 463-476). Proteins with a single EF-hand are rare among the EF-hand proteins described to date. In most of them, EF-hands are paired to promote cooperative, high affinity binding of two calcium ions within the hydrophobic pocket formed by both sites. Most EF-hand proteins are either soluble in the cytosol or on membranes facing the cytosol, a few are present within the lumen of organelles in the secretory pathway (Ikura (1996) Trends in Biochem. Sci. 26:14-17. Lin et al (1998) J Cell Biol 141: 1515-1527). Unlike these, caleosins do not have a N-terminal signal peptide, but include a central hydrophobic region with the potential to form a transmembrane helix (Frandsen et al (1996) J Biol Chem 271: 343-348). Caleosin have been found to be associated with the oil-bodies, similar to oleosins, and also appear to be associated with an ER subdomain at the early stages of embryo development in Arabidopsis, when storage oil-body and storage protein formation commence. Caleosins are encoded by multigene families in plants and have been identified in a variety of plant species (Chen et al (1998) Plant Cell Physiol 39: 935-941. Nuccio and Thomas (1999) Plant Mol Biol 39: 1153-1163.). The possible participation of caleosin in processes associated with formation of the ER subdomain, where oil-bodies are formed makes it an attractive candidate for attempting to increase oil content in plants.
    • [0148]
      Lec1 homologs may be further identified by using conserved sequence motifs. The following amino acid sequence (given in single letter code, with “x” representing any amino acid). Under lined amino acids are those that are conserved in Lec1 but not found in Lec1-related proteins.
    • [0149]
      REQDxxMPxANVxRIMRxxLPxxAKISDDAKExIQECVSExISFxTxEANxRCxxxxRK TxxxE In a further embodiment, this invention encompasses chimeric construct comprising any of the isolated nucleic acid fragments of the invention or complement thereof operably linked to at least one regulatory sequence. It is also understood that chimeric constructs comprising such fragments or complements thereof or parts of either can be used in antisense inhibition or suppression of a transformed plant.
    • [0150]
      Also within the scope of this invention is a plant comprising in its genome a chimeric construct as described herein. Chimeric constructs designed for plant expression such as those described herein can be introduced into a plant cell in a number of art-recognized ways. Those skilled in the art will appreciate that the choice of method might depend on the type of plant (i.e, monocot or dicot) and/or organelle (i.e., nucleus, chloroplast, mitochondria) targeted for transformation. Suitable methods for transforming plant cells include microinjection, electroporation, Agrobacterium mediated transformation, direct gene transfer and particle-accelerated or “gene gun” transformation technology as is discussed above.
    • [0151]
      Examples of plants which can be transformed include, but are not limited to, corn, soybean, wheat, rice, canola, Brassica, sorghum, sunflower, and coconut.
    • [0152]
      The regeneration, development and cultivation of plants from single plant protoplast transformants or from various transformed explants is well known in the art (Weissbach and Weissbach, In, Methods for Plant Molecular Biology, (Eds.), Academic Press, Inc., San Diego, Calif. (1988)). This regeneration and growth process typically includes the steps of selection of transformed cells, culturing those individualized cells through the usual stages of embryonic development through the rooted plantlet stage. Transgenic embryos and seeds are similarly regenerated. The resulting transgenic rooted shoots are thereafter planted in an appropriate plant growth medium such as soil.
    • [0153]
      The development or regeneration of plants containing the foreign, exogenous gene that encodes a protein of interest is well known in the art. Preferably, the regenerated plants are self-pollinated to provide homozygous transgenic plants. Otherwise, pollen obtained from the regenerated plants is crossed to seed-grown plants of agronomically important lines. Conversely, pollen from plants of these important lines is used to pollinate regenerated plants. A transgenic plant of the present invention containing a desired polypeptide is cultivated using methods well known to one skilled in the art.
    • [0154]
      There are a variety of methods for the regeneration of plants from plant tissue. The particular method of regeneration will depend on the starting plant tissue and the particular plant species to be regenerated. Methods for transforming dicots, primarily by use of Agrobacterium tumefaciens, and obtaining transgenic plants have been published for cotton (U.S. Pat. No. 5,004,863, U.S. Pat. No. 5,159,135, U.S. Pat. No. 5,518,908); soybean (U.S. Pat. No. 5,569,834, U.S. Pat. No. 5,416,011, McCabe et. al., BiolTechnology 6:923 (1988), Christou et al., Plant Physiol. 87:671-674 (1988)); Brassica (U.S. Pat. No. 5,463,174); peanut (Cheng et al., Plant Cell Rep. 15:653-657 (1996), McKently et al., Plant Cell Rep. 14:699-703 (1995)); papaya; and pea (Grant et al., Plant Cell Rep. 15:254-258, (1995)).
    • [0155]
      Transformation of monocotyledons using electroporation, particle bombardment, and Agrobacterium have also been reported. Transformation and plant regeneration have been achieved in asparagus (Bytebier et al., Proc. Natl. Acad. Sci. (USA) 84:5354, (1987)); barley (Wan and Lemaux, Plant Physiol 104:37 (1994)); Zea mays (Rhodes et al., Science 240:204 (1988), Gordon-Kamm et al., Plant Cell 2:603-618 (1990), Fromm et al., BiolTechnology 8:833 (1990), Koziel et al., BiolTechnology 11: 194, (1993), Armstrong et al., Crop Science 35:550-557 (1995)); oat (Somers et al., BiolTechnology 10: 15 89 (1992)); orchard grass (Horn et al., Plant Cell Rep. 7:469 (1988)); rice (Toriyama et al., TheorAppl. Genet. 205:34, (1986); Part et al., Plant Mol. Biol. 32:1135-1148, (1996); Abedinia et al., Aust. J. Plant Physiol. 24:133-141 (1997); Zhang and Wu, Theor. Appl. Genet. 76:835 (1988); Zhang et al. Plant Cell Rep. 7:379, (1988); Battraw and Hall, Plant Sci. 86:191-202 (1992); Christou et al., Bio/Technology 9:957 (1991)); rye (De la Pena et al., Nature 325:274 (1987)); sugarcane (Bower and Birch, Plant J. 2:409 (1992)); tall fescue (Wang et al., BiolTechnology 10:691 (1992)), and wheat (Vasil et al., Bio/Technology 10:667 (1992); U.S. Pat. No. 5,631,152).
    • [0156]
      Assays for gene expression based on the transient expression of cloned nucleic acid constructs have been developed by introducing the nucleic acid molecules into plant cells by polyethylene glycol treatment, electroporation, or particle bombardment (Marcotte et al., Nature 335:454-457 (1988); Marcotte et al., Plant Cell 1:523-532 (1989); McCarty et al., Cell 66:895-905 (1991); Hattori et al., Genes Dev. 6:609-618 (1992); Goff et al., EMBO J. 9:2517-2522 (1990)).
    • [0157]
      Transient expression systems may be used to functionally dissect gene constructs (see generally, Maliga et al., Methods in Plant Molecular Biology, Cold Spring Harbor Press (1995)). It is understood that any of the nucleic acid molecules of the present invention can be introduced into a plant cell in a permanent or transient manner in combination with other genetic elements such as vectors, promoters, enhancers etc.
    • [0158]
      In addition to the above discussed procedures, practitioners are familiar with the standard resource materials which describe specific conditions and procedures for the construction, manipulation and isolation of macromolecules (e.g., DNA molecules, plasmids, etc.), generation of recombinant organisms and the screening and isolating of clones, (see for example, Sambrook et al., Molecular Cloning: A Laboratory Manual, Cold Spring Harbor Press (1989); Maliga et al., Methods in Plant Molecular Biology, Cold Spring Harbor Press (1995); Birren et al., Genome Analysis: Detecting Genes, 1, Cold Spring Harbor, N.Y. (1998); Birren et al., Genome Analysis: Analyzing DNA, 2, Cold Spring Harbor, N.Y. (1998); Plant Molecular Biology: A Laboratory Manual, eds. Clark, Springer, N.Y. (1997)).
    • [0159]
      Seeds obtained from such plants and oil obtained from these seeds constitute another aspect of the present invention.
    • [0160]
      In an even further aspect, the invention concerns a method for altering oil phenotype in a plant which comprises:
    • [0161]
      (a) transforming a plant with a chimeric construct of the invention;
    • [0162]
      (b) growing the transformed plant under conditions suitable for expression of the chimeric gene; and
    • [0163]
      (c) selecting those transformed plants whose oil phenotype has been altered compared to the oil phenotype of an untransformed plant.
    • [0164]
      In a more specific embodiment, the invention concerns a method for altering oil phenotype in a plant which comprises:
    • [0165]
      (a) transforming a plant with a chimeric construct comprising isolated nucleotide fragment comprising a nucleic acid sequence selected from the group consisting of:
        • (i) a nucleic acid sequence encoding a plant SNF1 protein kinase having at least 60% identity based on the Clustal method of alignment when compared to a second polypeptide selected from the group consisting of even SEQ ID NOs: from 234 to 258 and SEQ ID NOs:400-409;
        • (ii) the complement of the nucleic acid sequence of (i);
        • (iii) the sequence of (i) or (ii) or a part thereof which is useful in antisense inhibition or co-suppression in a transformed plant;
        • (iv) a nucleic acid sequence encoding a plant Hap3/Lec1 transcription factor having at least 60% identity based on the Clustal method of alignment when compared to a second polypeptide selected from the group consisting of even SEQ ID NOs: from 260 to 278, and SEQ ID NOs:411-412;
        • (v) the complement of the nucleic acid sequence of (iv);
        • (vi) the sequence of (iv) or (v) or a part thereof which is useful in antisense inhibition or co-suppression in a transformed plant;
        • (vii) a nucleic acid sequence encoding a plant Lec1-related CCAAT binding transcription factor having at least 60% identity based on the Clustal method of alignment when compared to a second polypeptide selected from the group consisting of even SEQ ID NOs: from 280 to 308, and SEQ ID NOs:413-418;
        • (viii) the complement of the nucleic acid sequence of (vii);
        • (ix) the sequence of (vii) or (viii) or a part thereof which is useful in antisense inhibition or co-suppression in a transformed plant;
        • (x) a nucleic acid sequence encoding a plant Aintegumenta-like transcription factor having at least 60% identity based on the Clustal method of alignment when compared to a second polypeptide selected from the group consisting of even SEQ ID NOs: from 310 to 364, and SEQ ID NO:419-429;
        • (xi) the complement of the nucleic acid sequence of (x);
        • (xii) the sequence of (x) or (xi) or a part thereof which is useful in antisense inhibition or co-suppression in a transformed plant;
        • wherein said nucleic acid sequence is operably linked to at least one regulatory sequence;
    • [0179]
      (b) growing the transformed plant under conditions suitable for expression of the chimeric gene; and
    • [0180]
      (c) selecting those transformed plants whose oil phenotype has been altered compared to the oil phenotype of an untransformed plant.
    • [0181]
      It is understood by one skilled in the art that other percent identity ranges may be useful in the above mentioned method. Useful percent identities would include, but not be limited to, 45%, 55%, 60%, 65%, 70%, 75%, 80%, 85%, 90%, 95% and all integer percentages from 45 to 100%.
    • [0182]
      In an even further aspect, this invention concerns a method to isolate nucleic acid fragments associated with altering oil phenotype in a plant which comprises:
    • [0183]
      (a) comparing even SEQ ID NOs: from 2 to 364, and SEQ ID NOs:365-429 and 528-532, and all odd SEQ ID NOs: from 477 to 527 with other polypeptide sequences for the purpose of identifying polypeptides associated with altering oil phenotype in a plant;
    • [0184]
      (b) identifying the conserved sequences(s) or 4 or more amino acids obtained in step (a);
    • [0185]
      (c) making region-specific nucleotide probe(s) or oligomer(s) based on the conserved sequences identified in step (b); and
    • [0186]
      (d) using the nucleotide probe(s) or oligomer(s) of step (c) to isolate sequences associated with altering oil phenotype by sequence dependent protocols.
    • [0187]
      In a most preferred aspect, this invention concerns a method for altering oil phenotype in a plant which comprises:
    • [0188]
      (a) transforming a plant with a chimeric construct comprising an isolated nucleic acid fragment operably linked to at least one regulatory sequence wherein said fragment has a nucleic acid sequence encoding a polypeptide having a sequence identity of at least 60% based on the Clustal method of alignment when compared to a polypeptide selected from the group consisting of even SEQ ID NOs: from 2 to 364, and SEQ ID NOs: 365-429 and 528-532, and all odd SEQ ID NOs: from 477 to 527;
    • [0189]
      (b) growing the transformed plant under conditions suitable for expression of the chimeric gene; and
    • [0190]
      (c) selecting those transformed plants whose oil phenotype has been altered compared to the oil phenotype of an untransformed plant.
    • [0191]
      It is understood by one skilled in the art that other percent identity ranges may be useful in the above mentioned method. Useful percent identities would include, but not be limited to, 45%, 55%, 60%, 65%, 70%, 75%, 80%, 85%, 90%, 95% and all integer percentages from 45 to 100%.
    • [0192]
      In another aspect, this invention also concerns a method of mapping genetic variations related to altered oil phenotypes in a plant comprising:
        • (a) crossing two plant varieties; and
        • (b) evaluating genetic variations with respect to nucleic acid
          sequences set forth in the odd SEQ ID NOs: from 1 to 363, and in even SEQ ID NOs: from 476 to 526, in progeny plants resulting from the cross of step (a) wherein the evaluation is made using a method selected from the group consisting of: RFLP analysis, SNP analysis, and PCR-based analysis.
    • [0195]
      In another embodiment, this invention concerns a method of molecular breeding to obtain altered oil phenotypes in a plant comprising:
        • (a) crossing two plant varieties; and
        • (b) evaluating genetic variations with respect to nucleic acid
          sequences set forth in the odd SEQ ID NOs: from 1 to 363, and in even SEQ ID NOs: from 476 to 526, in progeny plants resulting from the cross of step (a) wherein the evaluation is made using a method selected from the group consisting of: RFLP analysis, SNP analysis, and PCR-based analysis.
    • [0198]
      The genetic variability at a particular locus (gene) due to even minor base changes can alter the pattern of restriction enzyme digestion fragments that can be generated. Pathogenic alterations to the genotype can be due to deletions or insertions within the gene being analyzed or even single nucleotide substitutions that can create or delete a restriction enzyme recognition site. RFLP analysis takes advantage of this and utilizes Southern blotting with a probe corresponding to the gene of interest.
    • [0199]
      Thus, if a polymorphism (i.e., a commonly occurring variation in a gene or segment of DNA; also, the existence of several forms of a gene (alleles) in the same species) creates or destroys a restriction endonuclease cleavage site, or if it results in the loss or insertion of DNA (e.g., a variable nucleotide tandem repeat (VNTR) polymorphism), it will alter the size or profile of the DNA fragments that are generated by digestion with that restriction endonuclease. As such, individuals that possess a variant sequence can be distinguished from those having the original sequence by restriction fragment analysis. Polymorphisms that can be identified in this manner are termed “restriction fragment length polymorphisms: (“RFLPs”). RFLPs have been widely used in human and plant genetic analyses (Glassberg, UK Patent Application 2135774; Skolnick et al, Cytogen. Cell Genet. 32:58-67 (1982); Botstein et al, Ann. J. Hum. Genet. 32:314-331 (1980); Fischer et al (PCT Application WO 90/13668; Uhlen, PCT Application WO 90/11369).
    • [0200]
      A central attribute of “single nucleotide polymorphisms” or “SNPs” is that the site of the polymorphism is at a single nucleotide. SNPs have certain reported advantages over RFLPs or VNTRs. First, SNPs are more stable than other classes of polymorphisms. Their spontaneous mutation rate is approximately 10−9 (Kornberg, DNA Replication, W.H. Freeman & Co., San Francisco, 1980), approximately, 1,000 times less frequent than VNTRs (U.S. Pat. No. 5,679,524). Second, SNPs occur at greater frequency, and with greater uniformity than RFLPs and VNTRs. As SNPs result from sequence variation, new polymorphisms can be identified by sequencing random genomic or cDNA molecules. SNPs can also result from deletions, point mutations and insertions. Any single base alteration, whatever the cause, can be a SNP. The greater frequency of SNPs means that they can be more readily identified than the other classes of polymorphisms.
    • [0201]
      SNPs can be characterized using any of a variety of methods. Such methods include the direct or indirect sequencing of the site, the use of restriction enzymes where the respective alleles of the site create or destroy a restriction site, the use of allele-specific hybridization probes, the use of antibodies that are specific for the proteins encoded by the different alleles of the polymorphism or by other biochemical interpretation. SNPs can be sequenced by a number of methods. Two basic methods may be sued for DNA sequencing, the chain termination method of Sanger et al, Proc. Natl. Acad. Sci. (U.S.A.) 74:5463-5467 (1977), and the chemical degradation method of Maxam and Gilbert, Proc. Natl. Acad. Sci. (U.S.A.) 74: 560-564 (1977).
    • [0202]
      Polymerase chain reaction (“PCR”) is a powerful technique used to amplify DNA millions of fold, by repeated replication of a template, in a short period of time. (Mullis et al, Cold Spring Harbor Symp. Quant. Biol. 51:263-273 (1986); Erlich et al, European Patent Application 50,424; European Patent Application 84,796; European Patent Application 258,017, European Patent Application 237,362; Mullis, European Patent Application 201,184, Mullis et al U.S. Pat. No. 4,683,202; Erlich, U.S. Pat. No. 4,582,788; and Saiki et al, U.S. Pat. No. 4,683,194). The process utilizes sets of specific in vitro synthesized oligonucleotides to prime DNA synthesis. The design of the primers is dependent upon the sequences of DNA that are desired to be analyzed. The technique is carried out through many cycles (usually 20-50) of melting the template at high temperature, allowing the primers to anneal to complementary sequences within the template and then replicating the template with DNA polymerase.
    • [0203]
      The products of PCR reactions are analyzed by separation in agarose gels followed by ethidium bromide staining and visualization with UV transillumination. Alternatively, radioactive dNTPs can be added to the PCR in order to incorporate label into the products. In this case the products of PCR are visualized by exposure of the gel to x-ray film. The added advantage of radiolabeling PCR products is that the levels of individual amplification products can be quantitated.
    • [0204]
      Furthermore, single point mutations can be detected by modified PCR techniques such as the ligase chain reaction (“LCR”) and PCR-single strand conformational polymorphisms (“PCR-SSCP”) analysis. The PCR technique can also be sued to identify the level of expression of genes in extremely small samples of material, e.g., tissues or cells from a body. The technique is termed reverse transcription-PCR (“RT-PCR”).
    • [0205]
      In another embodiment, this invention concerns a method for altering oil phenotype in a plant which comprises:
    • [0206]
      (a) transforming a plant with a chimeric construct comprising isolated nucleotide fragment comprising a nucleic acid sequence selected from the group consisting of:
        • (i) a nucleic acid sequence encoding a plant Hap3/Lec1 transcription factor having at least 70% identity based on the Clustal method of alignment when compared to a second polypeptide selected from the group consisting of SEQ ID NOs:260, 262, 264, 268, 270, 272, 274, 276, 278, 411, 412. or 459;
        • (ii) the complement of the nucleic acid sequence of (iv);
        • (iii) the sequence of (iv) or (v) or a part thereof which is useful in antisense inhibition or co-suppression in a transformed plant;
    • [0210]
      (b) growing the transformed plant under conditions suitable for expression of the chimeric gene; and
    • [0211]
      (c) selecting those transformed plants whose oil phenotype has been altered compared to the oil phenotype of an untransformed plant.
    • [0212]
      It is understood by one skilled in the art that other percent identity ranges may be useful in the above mentioned method. Useful percent identities would include, but not be limited to, 45%, 50%, 55%, 60%, 65%, 75%, 80%, 85%, 90%, 95% and all integer percentages from 45 to 100%.
    • [0213]
      In another aspect this invention concerns a method to isolate nucleic acid fragments associated with altering oil phenotype in a plant which comprises:
    • [0214]
      (a) comparing SEQ ID NOs:260, 262, 264, 268, 270, 272, 274, 276, 278, 411, 412. or 459 with other polypeptide sequences for the purpose of identifying polypeptides associated with altering oil phenotype in a plant;
    • [0215]
      (b) identifying the conserved sequences(s) or 4 or more amino acids obtained in step (a);
    • [0216]
      (c) making region-specific nucleotide probe(s) or oligomer(s) based on the conserved sequences identified in step (b); and
    • [0217]
      (d) using the nucleotide probe(s) or oligomer(s) of step (c) to isolate sequences associated with altering oil phenotype by sequence dependent protocols.
    • EXAMPLES
    • [0218]
      The present invention is further defined in the following Examples, in which parts and percentages are by weight and degrees are Celsius, unless otherwise stated. The disclosure of each reference set forth herein is incorporated herein by reference in its entirety.
    • Example 1 Composition of cDNA Libraries; Isolation and Sequencing of cDNA Clones
    • [0219]
      cDNA libraries representing mRNAs from various plant tissues were prepared. The characteristics of the libraries are described below.
    • [0000]
      TABLE 2
      cDNA Libraries from Various Plants
      Library Tissue Clone
      cbn10 Corn Developing Kernel (Embryo and cbn10.pk0005.e6:fis
      Endosperm); 10 Days After Pollination cbn10.pk0064.e6
      cc71se-a Corn Callus Type II Tissue, Somatic Embryo cc71se-a.pk0002.e11:fis
      Formed
      cc71se-b Corn Callus Type II Tissue, Somatic Embryo cc71se-b.pk0018.e4:fis
      Formed
      cca Corn Callus Type II Tissue, Undifferentiated, cca.pk0026.d6
      Highly Transformable
      ccase-b Corn Callus Type II Tissue, Somatic Embryo ccase-b.pk0003.b9:fis
      Formed, Highly Transformable
      cco1n Corn Cob of 67 Day Old Plants Grown in cco1n.pk062.j7
      Green House* cco1n.pk086.d20:fis
      cco1n.pk0014.d4:fis
      cco1n.pk055.o18
      cco1n.pk089.g17
      cco1n.pk068.f18:fis
      cde1c Corn (Zea mays, B73) developing embryo cde1c.pk003.o22:fis
      20 dap
      cde1n Corn (Zea mays, B73) developing embryo cde1n.pk003.a5
      20 DAP normalized cde1n.pk001.n24:fis
      cdo1c Corn (Zea mays L.) ovary, 5 days after silking cdo1c.pk001.c1:fis
      (includes pedicel and glumes)
      ceb5 Corn Embryo 30 Days After Pollination ceb5.pk0081.b4
      cen3n Corn Endosperm 20 Days After Pollination* cen3n.pk0164.a10
      cen3n.pk0044.b8:fis
      cen3n.pk0112.e10:fis
      cho1c Corn (Zea mays L., Alexho Synthetic High Oil) cho1c.pk003.p17:fis
      embryo 20 DAP cho1c.pk003.n23
      cho1c.pk004.b19:fis
      cho1c.pk007.l21:fis
      cho1c.pk001.l23:fis
      cho1c.pk009.g10
      clm1f Corn (Zea mays, B73) leaf at V6-VT (full clm1f.pk001.k17
      length) clm1f.pk002.o13:fis
      cpd1c Corn (Zea mays L.) pooled BMS treated with cpd1c.pk011.i5:fis
      chemicals related to protein kinases cpd1c.pk008.e21
      cpf1c Corn (Zea mays L.) pooled BMS treated with cpf1c.pk006.e3:fis
      chemicals related to protein synthesis
      cpj1c Corn (Zea mays L.) pooled BMS treated with cpj1c.pk005.m20:fis
      chemicals related to membrane ionic force
      cr1n Corn Root From 7 Day Old Seedlings* cr1n.pk0080.g6
      cse1c Corn (Zea mays L.) seedling at V2 stage cse1c.pk001.h6
      treated with Ethylene collected at 6 hr, 23 hr,
      72 hr
      cta1n Corn Tassel* cta1n.pk0070.f3:fis
      cta1n.pk0074.h11
      ctn1c Corn (Zea mays L., B73) night harvested ctn1c.pk002.o4
      tassel (v12 stage).
      ece1c castor bean developing endosperm to ece1c.pk003.g23:fis
      compare/contrast triacylglycerol biosynthesis
      ect1c Canna edulis Tubers ect1c.pk001.k17:fis
      ect1c.pk007.p18:fis
      eef1c Eucalyptus tereticornis flower buds from eef1c.pk004.c8:fis
      adult tree
      egh1c Upland Cotton (Gossypium hirsutum) egh1c.pk005.k20
      germinating seeds, to identify cDNAs
      associated with N-acyl-
      phosphatidylethanolamine synthesis
      etr1c Cattail (Typha latifolia) root etr1c.pk006.f9
      fds Momordica charantia Developing Seed fds.pk0003.h5:fis
      fds1n.pk015.l15
      hss1c Sclerotinia infected sunflower plants hss1c.pk011.h10:fis
      ncs Catalpa speciosa Developing Seed ncs.pk0013.c4
      p0006 Young shoot p0006.cbysa51r:fis
      p0015 13 DAP embryo p0015.cdpgu90r:fis
      p0015.cdpfm55r:fis
      p0016 Tassel shoTassel shoots, pooled, 0.1-1.4 cm p0016.ctsbf56rb
      p0018 Seedling after 10 day drought (T001), heat p0018.chssh26r
      shocked for 24 hrs (T002), recovery at normal
      growth condition for 8 hrs, 16 hrs, 24 hrs
      p0026 Regenerating callus 5 days after auxin p0026.ccrab39r
      removal Hi-II callus 223a, 1129e
      p0027 GS3 shoot cultures that were transformed with p0027.cgsag51r
      PHP5869 and were maintained on 273T shoot
      multiplication medium since Mar. 17, 1994 (sample
      received on May 29, 1996 for RNA prep). The
      original transformation was done on Nov. 6, 1993
      p0031 CM45 shoot culture. It was initiated on Feb. 28, 1996 p0031.ccmau15r:fis
      from seed derived meristems. The culture was p0031.ccmbc81r
      maintained on 273N medium.
      p0032 Regenerating callus, 10 and 14 days after p0032.crcav77r:fis
      auxin removal. Hi-II callus 223a, 1129e 10
      days. Hi-II callus 223a, 1129e 14 days
      p0037 corn Root Worm infested V5 roots p0037.crwbs90r:fis
      p0083 7 DAP whole kernels p0083.cldct11r:fis
      p0083.cldeu68r:fis
      p0083.clder12r
      p0086 P0067 screened 1; 11 DAP pericarp p0086.cbsaa24r
      p0118 Night harvested, pooled stem tissue from the p0118.chsbc77r
      4-5 internodes subtending the tassel; V8-V12 p0118.chsbh89r
      stages, Screened 1
      p0125 Anther: Prophase I sceened 1 p0125.czaab60rb:fis
      p0126 Night harvested leaf tissue; V8-V10 p0126.cnlau71r:fis
      p0134 Hi-II callus 223a, 1129e, 10days hi-II callus p0134.carah47r
      233a, 1129e, 14days
      pps1c Prickly poppy developing seeds pps1c.pk001.h3:fis
      pps1c.pk007.j21:fis
      rbm5c Rice (Oryza sativa, Cypress) bran 10 days rbm5c.pk001.a19
      after milling
      rca1c Rice Nipponbare Callus. rca1c.pk007.b22:fis
      rca1n Rice (Oryza sativa L., Nipponbare) callus rca1n.pk029.n22
      normalized. rca1n.pk002.j3
      rca1n.pk021.b20:fis
      rca1n.pk004.j14:fis
      rca1n.pk026.m9
      rca1n.pk008.o5:fis
      rl0n Rice 15 Day Old Leaf* r10n.pk096.h23
      rl0n.pk0061.c8:fis
      rl0n.pk131.j17
      r10n.pk0015.a4:fis
      rlm3n Rice (Oryza sativa, YM) leaf mixture (rsr9) rlm3n.pk005.d20:fis
      normalized at 45 C for 24 hrs using 20 fold
      excess of driver
      rlr2 Rice (Oryza sativa L.) leaf (15 DAG) 2 hrs after rlr2.pk0012.d2
      infection of strain 4360-R-62 (AVR2-YAMO);
      Resistant
      rlr24 Rice Leaf 15 Days After Germination, 24 Hours rlr24.pk0032.e10
      After Infection of Strain Magnaporthe grisea
      4360-R-62 (AVR2-YAMO); Resistant
      rls6 Rice Leaf 15 Days After Germination, 6 Hours rls6.pk0033.a9:fis
      After Infection of Strain Magnaporthe grisea
      4360-R-67 (AVR2-YAMO); Susceptible
      rls72 Rice Leaf 15 Days After Germination, 72 Hours rls72.pk0023.c8:fis
      After Infection of Strain Magnaporthe grisea
      4360-R-67 (AVR2-YAMO); Susceptible
      rr1 Rice Root of Two Week Old Developing rr1.pk0039.d4:fis
      Seedling rr1.pk0003.a3:fis
      rr1.pk097.f22:fis
      rr1.pk0047.g12:fis
      rsl1n Rice (Oryza sativa, YM) 15 day old seedling rsl1n.pk002.g10:fis
      normalized rsl1n.pk002.j2:fis
      rsl1n.pk006.n24:fis
      rsl1n.pk013.g2
      scb1c Soybean (Glycine max L., 2872) Embryogenic scb1c.pk004.n19:fis
      suspension culture subjected to 4
      bombardments and collected 12 hrs later.
      sde4c Soybean Developing Embryo (9-11 mm) sde4c.pk0001.a2:fis
      sdp2c Soybean (Glycine max L.) developing pods sdp2c.pk003.o5:fis
      6-7 mm sdp2c.pk023.n6:fis
      sdp2c.pk029.k17:fis
      sdp2c.pk044.e5:fis
      sdp3c Soybean Developing Pods (8-9 mm) sdp3c.pk018.b9:fis
      sdp3c.pk019.n1:fis
      sdp4c Soybean (Glycine max L.) developing pods 10-12 mm sdp4c.pk009.e3
      sdp4c.pk016.e10
      sdr1f Soybean (Glycine max, Wye) 10 day old root sdr1f.pk001.p7
      sds1f Soybean (Glycine max, Wye) 11 day old sds1f.pk001.f7:fis
      seedling full length library using trehalose
      se1 Soybean Embryo, 6 to 10 Days After Flowering se1.pk0042.d8:fis
      se2 Soybean Embryo, 13 Days After Flowering se2.11d12:fis
      se3 Soybean (Glycine max L.) embryo, 17 DAF se3.pk0034.a3
      ses2w Soybean Embryogenic Suspension 2 Weeks ses2w.pk0015.a4:fis
      After Subculture ses2w.pk0035.a9:fis
      ses2w.pk0012.d10:fis
      ses4d Soybean Embryogenic Suspension 4 Days ses4d.pk0037.e3:fis
      After Subculture ses4d.pk0044.c12
      ses4d.pk0006.a12
      ses4d.pk0006.a12:fis
      ses4d.pk0043.d10:fis
      sfl1 Soybean Immature Flower sfl1.pk0102.h8
      sfl1.pk131.j19
      sfl1.pk135.g3
      sfl1.pk0029.h10:fis
      sgc5c Soybean (Glycine max L., Wye) germanating sgc5c.pk001.h16
      cotyledon (¾ yellow; 15-24 DAG)
      sgs1c Soybean Seeds 4 Hours After Germination sgs1c.pk004.f19:fis
      sgs4c Soybean (Glycine max L.) seeds 2 days after sgs4c.pk004.j2
      germination. sgs4c.pk006.g6
      sgs4c.pk006.n21
      sic1c Soybean (Glycine max) pooled tissue of root, sic1c.pk003.o13:fis
      stem, and leaf with iron chlorosis conditions sic1c.pk003.o18:fis
      sif1c Soybean (Glycine max) pooled tissue of sif1c.pk001.m16:fis
      basal stem and root infected with fusarium
      sls1c Soybean (Glycine max L., S1990) infected sls1c.pk010.l1:fis
      with Sclerotinia sclerotiorum mycelium. sls1c.pk032.j4
      sls1c Soybean (Glycine max L., S1990) infected with sls1c.pk010.l1:fis
      Sclerotinia sclerotiorum mycelium. sls1c.pk020.h24
      sls2c Soybean (Glycine max L., Manta) infected with sls2c.pk007.c23:fis
      Sclerotinia sclerotiorum mycelium.
      sr1 Soybean Root sr1.pk0041.a11:fis
      sr1.pk0049.c2
      srb Scarlett runner bean (R. Goldberg) srb.08g04
      src1c Soybean 8 Day Old Root Infected With Cyst src1c.pk003.o16:fis
      Nematode
      src2c Soybean (Glycine max L., 437654) 8 day old src2c.pk025.b3:fis
      root inoculated with eggs of cyst Nematode src2c.pk011.m12:fis
      (Race 1) for 4 days. src2c.pk009.g9:fis
      src2c.pk003.i13:fis
      src3c Soybean 8 Day Old Root Infected With Cyst src3c.pk018.d10:fis
      Nematode sr3c.pk011.g22
      src3c.pk012.m6:fis
      src3c.pk019.d4:fis
      src3c.pk009.b15
      src3c.pk028.j21:fis
      sre Soybean (Glycine max L.) root elongation sre.pk0037.c1
      srr1c Soybean 8-Day-Old Root srr1c.pk001.i24:fis
      srr3c Soybean 8-Day-Old Root srr3c.pk001.l10:fis
      tlw1c Tobacco (Nicotiana benthamiana) Leaves tlw1c.pk006.o16
      Wounded by Abrasion and Harvested After
      1.5 Hour.
      vdb1c Grape (Vitis sp.) developing bud vdb1c.pk001.m5:fis
      vmb1na Grape (Vitis sp.) midstage berries normalized vmb1na.pk015.d18:fis
      vpl1c Grape (Vitis sp.) In vitro plantlets vpl1c.pk008.o5:fis
      vrr1c Grape (Vitis sp.)resistant roots vrr1c.pk004.o20:fis
      vs1n Vernonia Seed* vs1n.pk013.m13:fis
      wde1f Wheat (Triticum aestivum, Hi Line) wde1f.pk003.h2:fis
      developing endosperm 2-7 DPA
      wdk2c Wheat Developing Kernel, 7 Days After wdk2c.pk009.e4
      Anthesis.
      wdk2c Wheat Developing Kernel, 7 Days After wdk2c.pk018.c16:fis
      Anthesis.
      wdk3c Wheat Developing Kernel, 14 Days After wdk3c.pk023.h15:fis
      Anthesis.
      wdk5c Wheat Developing Kernel, 30 Days After wdk5c.pk006.m13
      Anthesis
      wdk9n Wheat (Triticum aestivu, Spring Wheat) wdk9n.pk001.k5
      kernels 3, 7, 14 and 21 days after anthesis
      wdr1f Wheat (Triticum aestivum) developing root wdr1f.pk003.b21:fis
      (full length)
      wds1f Wheat developing seedling full length wds1f.pk002.p21:fis
      wia1c Wheat (Triticum aestivum, Hi Line) immature wia1c.pk001.d20:fis
      anthers
      wkm1c Wheat Kernel malted 55 Hours at 22 Degrees wkm1c.pk0002.d7:fis
      Celsius
      wl1n Wheat Leaf From 7 Day Old Seedling* wl1n.pk0114.f9
      wle1n Wheat Leaf From 7 Day Old Etiolated wle1n.pk0076.h7:fis
      Seedling*
      wlk8 Wheat Seedlings 8 Hours After Treatment With wlk8.pk0001.e10:fis
      Fungicide**
      wlm96 Wheat Seedlings 96 Hours After Inoculation With wlm96.pk060.d5
      Erysiphe graminis f. sp tritici wlm96.pk037.k9:fis
      wlm96.pk035.j11:fis
      wlm96.pk0007.e4:fis
      wr1 Wheat Root From 7 Day Old Seedling wr1.pk0094.f2:fis
      wr1.pk0153.c7:fis
      wr1.pk148.f7:fis
      wre1n Wheat Root From 7 Day Old Etiolated wre1n.pk0066.e4:fis
      Seedling* wre1n.pk0143.h2:fis
      *These libraries were normalized essentially as described in U.S. Pat. No. 5,482,845, incorporated herein by reference.
      **Application of 6-iodo-3-propyl-2-propyloxy-4(3H)-quinazolinone; synthesis and methods of using this compound are described in U.S. Pat. No. 5,747,497.
      indicates data missing or illegible when filed
    • [0220]
      cDNA libraries may be prepared by any one of many methods available. For example, the cDNAs may be introduced into plasmid vectors by first preparing the cDNA libraries in Uni-ZAP™ XR vectors according to the manufacturer's protocol (Stratagene Cloning Systems, La Jolla, Calif.). The Uni-ZAP™ XR libraries are converted into plasmid libraries according to the protocol provided by Stratagene. Upon conversion, cDNA inserts will be contained in the plasmid vector pBluescript. In addition, the cDNAs may be introduced directly into precut Bluescript II SK(+) vectors (Stratagene) using T4 DNA ligase (New England Biolabs), followed by transfection into DH10B cells according to the manufacturer's protocol (GIBCO BRL Products). Once the cDNA inserts are in plasmid vectors, plasmid DNAs are prepared from randomly picked bacterial colonies containing recombinant pBluescript plasmids, or the insert cDNA sequences are amplified via polymerase chain reaction using primers specific for vector sequences flanking the inserted cDNA sequences. Amplified insert DNAs or plasmid DNAs are sequenced in dye-primer sequencing reactions to generate partial cDNA sequences (expressed sequence tags or “ESTs”; see Adams et al, (1991) Science 252:1651-1656). The resulting ESTs are analyzed using a Perkin Elmer Model 377 fluorescent sequencer.
    • [0221]
      Full-insert sequence (FIS) data is generated utilizing a modified transposition protocol. Clones identified for FIS are recovered from archived glycerol stocks as single colonies, and plasmid DNAs are isolated via alkaline lysis. Isolated DNA templates are reacted with vector primed M13 forward and reverse oligonucleotides in a PCR-based sequencing reaction and loaded onto automated sequencers. Confirmation of clone identification is performed by sequence alignment to the original EST sequence from which the FIS request is made.
    • [0222]
      Confirmed templates are transposed via the Primer Island transposition kit (PE Applied Biosystems, Foster City, Calif.) which is based upon the Saccharomyces cerevisiae Ty1 transposable element (Devine and Boeke (1994) Nucleic Acids Res. 22:3765-3772). The in vitro transposition system places unique binding sites randomly throughout a population of large DNA molecules. The transposed DNA is then used to transform DH10B electro-competent cells (Gibco BRL/Life Technologies, Rockville, Md.) via electroporation. The transposable element contains an additional selectable marker (named DHFR; Fling and Richards (1983) Nucleic Acids Res. 11:5147-5158), allowing for dual selection on agar plates of only those subclones containing the integrated transposon. Multiple subclones are randomly selected from each transposition reaction, plasmid DNAs are prepared via alkaline lysis, and templates are sequenced (ABI Prism dye-terminator ReadyReaction mix) outward from the transposition event site, utilizing unique primers specific to the binding sites within the transposon.
    • [0223]
      Sequence data is collected (ABI Prism Collections) and assembled using Phred/Phrap (P. Green, University of Washington, Seattle). Phrep/Phrap is a public domain software program which re-reads the ABI sequence data, re-calls the bases, assigns quality values, and writes the base calls and quality values into editable output files. The Phrap sequence assembly program uses these quality values to increase the accuracy of the assembled sequence contigs. Assemblies are viewed by the Consed sequence editor (D. Gordon, University of Washington, Seattle).
    • [0224]
      In some of the clones the cDNA fragment corresponds to a portion of the 3′-terminus of the gene and does not cover the entire open reading frame. In order to obtain the upstream information one of two different protocols are used. The first of these methods results in the production of a fragment of DNA containing a portion of the desired gene sequence while the second method results in the production of a fragment containing the entire open reading frame. Both of these methods use two rounds of PCR amplification to obtain fragments from one or more libraries. The libraries some times are chosen based on previous knowledge that the specific gene should be found in a certain tissue and some times are randomly-chosen. Reactions to obtain the same gene may be performed on several libraries in parallel or on a pool of libraries. Library pools are normally prepared using from 3 to 5 different libraries and normalized to a uniform dilution. In the first round of amplification both methods use a vector-specific (forward) primer corresponding to a portion of the vector located at the 5′-terminus of the clone coupled with a gene-specific (reverse) primer. The first method uses a sequence that is complementary to a portion of the already known gene sequence while the second method uses a gene-specific primer complementary to a portion of the 3′-untranslated region (also referred to as UTR). In the second round of amplification a nested set of primers is used for both methods. The resulting DNA fragment is ligated into a pBluescript vector using a commercial kit and following the manufacturer's protocol. This kit is selected from many available from several vendors including Invitrogen (Carlsbad, Calif.), Promega Biotech (Madison, Wis.), and Gibco-BRL (Gaithersburg, Md.). The plasmid DNA is isolated by alkaline lysis method and submitted for sequencing and assembly using Phred/Phrap, as above.
    • Example 2 Identification of cDNA Clones
    • [0225]
      cDNA clones encoding proteins involved in altering plant oil traits were identified by gene profiling (see Examples 6 and 8) and by conducting BLAST (Basic Local Alignment Search Tool; Altschul et al (1993) J. Mol. Biol. 215:403-410; see also www.ncbi.nlm.nih.gov/BLAST/) searches for similarity to sequences contained in the BLAST “nr” database (comprising all non-redundant GenBank CDS translations, sequences derived from the 3-dimensional structure Brookhaven Protein Data Bank, the last major release of the SWISS-PROT protein sequence database, EMBL, and DDBJ databases). The cDNA sequences obtained in Example 1 were analyzed for similarity to all publicly available DNA sequences contained in the “nr” database using the BLASTN algorithm provided by the National Center for Biotechnology Information (NCBI). The DNA sequences were translated in all reading frames and compared for similarity to all publicly available protein sequences contained in the “nr” database using the BLASTX algorithm (Gish and States (1993) Nat. Genet. 3:266-272) provided by the NCBI. For convenience, the P-value (probability) of observing a match of a cDNA sequence to a sequence contained in the searched databases merely by chance as calculated by BLAST are reported herein as “pLog” values, which represent the negative of the logarithm of the reported P-value. Accordingly, the greater the pLog value, the greater the likelihood that the cDNA sequence and the BLAST “hit” represent homologous proteins.
    • [0226]
      ESTs submitted for analysis are compared to the genbank database as described above. ESTs that contain sequences more 5- or 3-prime can be found by using the BLASTn algorithm (Altschul et al (1997) Nucleic Acids Res. 25:3389-3402.) against the DuPont proprietary database comparing nucleotide sequences that share common or overlapping regions of sequence homology. Where common or overlapping sequences exist between two or more nucleic acid fragments, the sequences can be assembled into a single contiguous nucleotide sequence, thus extending the original fragment in either the 5 or 3 prime direction. Once the most 5-prime EST is identified, its complete sequence can be determined by Full Insert Sequencing as described in Example 1. Homologous genes belonging to different species can be found by comparing the amino acid sequence of a known gene (from either a proprietary source or a public database) against an EST database using the tBLASTn algorithm. The tBLASTn algorithm searches an amino acid query against a nucleotide database that is translated in all 6 reading frames. This search allows for differences in nucleotide codon usage between different species, and for codon degeneracy.
    • Example 3 Characterization of cDNA Clones Encoding Proteins Involved in Altering Oil Phenotypes
    • [0227]
      The BLASTX search using the EST sequences from clones listed in Table 3 revealed similarity of the polypeptides encoded by the cDNAs to receptor protein kinases, MEK3 homologs, Hap2 homologs, LIP 15 homologs, calcium EF-hand proteins, ATP citrate lyase, glucose metabolism proteins such as SNF1 homologs, Lec1 transcription factors, and seed developmentally regulated transcription factors such as CKC (Aintegumenta-like) homologs from various species including Arabidopsis thaliana, rice (Oryza sativa), corn (Zea mays), soybean (Glycine max), cucumber (Cucumis sativus), Sordaria (Sordaria macrospora), sesame (Sesamum indicum), grape (Vitis sp.), Brassica (Brassica napus), and tobacco (Nicotiana tabacum). Shown in Table 3 are the BLAST results for individual ESTs (“EST”), the sequences of the entire cDNA inserts comprising the indicated cDNA clones (“FIS”), the sequences of contigs assembled from two or more ESTs (“Contig”), sequences of contigs assembled from an FIS and one or more ESTs (“Contig*”), or sequences encoding an entire protein derived from an FIS, a contig, or an FIS and PCR (“CGS”):
    • [0000]
      TABLE 3
      BLAST Results for Sequences Encoding Polypeptides Homologous
      to Proteins Involved in Altering Oil Phenotypes
      SEQ ID
      NO. Gene Name Clone Homolog Genbank # pLOG
      2 Receptor PK cho1c.pk003.p17:fis Arabidopsis 3063445 14.0
      4 Receptor PK Arabidopsis
      6 MEK3 cho1c.pk003.n23 Tobacco 1362112 16.5
      8 MEK3 p0125.czaab60rb:fis Tobacco 1362112 180.0
      10 MEK3 rlr24.pk0032.e10 Arabidopsis 7487975 13.5
      12 MEK3 r10n.pk096.h23 Arabidopsis 7487976 30.5
      14 MEK3 Arabidopsis 4006878 92.5
      16 MEK3 sr3c.pk011.g22 Arabidopsis 4006878 23.7
      18 Hap2a ncs.pk0013.c4 No hits
      20 Hap2c etr1c.pk006.f9 No hits
      22 Hap2a vmb1na.pk015.d18 Arabidopsis 11282597 8.1
      24 Hap2a vpl1c.pk008.o5:fis Grape 7141243 91.2
      26 Hap2c vdb1c.pk001.m5:fis Rice 7489565 38.0
      28 Hap2c cho1c.pk004.b19:fis Rice 7489565 94.3
      30 Hap2c p0015.cdpgu90r:fis Rice 7489565 96.2
      32 Hap2a cta1n.pk0070.f3:fis Rice 7489565 38.1
      34 Hap2a cco1n.pk0014.d4:fis Arabidopsis 6634774 37.2
      36 Hap2a cco1n.pk086.d20:fis Arabidopsis 6634774 36.3
      38 Hap2b p0126.cnlau71r:fis Rice 7489565 23.7
      40 Hap2b p0104.cabav52r Rice 7489565 16.7
      42 Hap2b cho1c.pk007.l21:fis Rice 7489565 35.0
      44 Hap2c contig of: Rice 7489565 43.5
      cca.pk0026.d6
      cen3n.pk0061.e10:fis
      cen3n.pk0135.c2
      cho1c.pk001.n24
      p0092.chwae40r
      46 Hap2c cpf1c.pk006.e3:fis Rice 7489565 44.0
      48 Hap2c contig of: Rice 7489565 35.0
      cr1n.pk0080.g6
      p0003.cgpge51r
      50 Hap2c p0015.cdpfm55r:fis Arabidopsis 4587559 26.4
      52 Hap2 p0083.cldct11r:fis Rice 7489565 91.4
      54 Hap2 p0083.cldeu68r:fis Rice 7489565 14.2
      56 Hap2a pps1c.pk001.h3:fis Arabidopsis 9293997 45.5
      58 Hap2c pps1c.pk007.j21:fis Arabidopsis 5903072 53.7
      60 Hap2 rr1.pk0030.f7:fis Rice 7489565 identical
      62 Hap2a rls72.pk0023.c8:fis Arabidopsis 9293997 36.5
      64 Hap2a rca1n.pk002.c15 Grape 7141243 7.7
      66 Hap2a rds3c.pk001.g9 Rice 7489565 18.2
      68 Hap2b rca1n.pk002.j3:fis Rice 7489565 26.0
      70 Hap2c rca1n.pk029.n22:fis Arabidopsis 8778470 29.2
      72 Hap2b r10n.pk131.j17 Rice 7489565 10.5
      74 Hap2a sdp3c.pk018.b9:fis Arabidopsis 2398521 74.5
      76 Hap2a sfl1.pk0102.h8 Grape 7141243 36.7
      78 Hap2a srr3c.pk001.l10:fis Brassica 1586551 48.7
      80 Hap2a sdp2c.pk003.o5:fis Arabidopsis 6634774 53.0
      82 Hap2b sif1c.pk001.m16:fis Arabidopsis 6714441 180.0
      84 Hap2c src1c.pk003.o16:fis Rice 7489565 33.5
      86 Hap2c src3c.pk012.m6:fis Rice 7489565 31.5
      88 Hap2a hss1c.pk011.h10:fis Arabidopsis 9293997 48.7
      90 Hap2c wr1.pk0094.f2:fis Rice 7489565 92.7
      92 Hap2a wre1n.pk0143.h2:fis Arabidopsis 6634774 35.0
      94 Hap2b wds1f.pk002.p21:fis Arabidopsis 6714441 26.5
      96 Hap2b contig of: Rice 7489565 38.5
      wdi1c.pk002.b10
      wr1.pk0153.c7:fis
      98 Hap2c wre1n.pk0066.e4:fis Rice 7489565 42.7
      100 Hap5c ect1c.pk001.k17:fis Rice 5257260 57.0
      102 Hap5a vrr1c.pk004.o20:fis Arabidopsis 6523090 93.0
      104 Hap5a clm1f.pk001.k17:fis Arabidopsis 6523090 66.7
      106 Hap5b cde1n.pk003.a5:fis Arabidopsis 3776575 57.0
      108 Hap5b cen3n.pk0164.a10:fis Arabidopsis 3776575 57.0
      110 Hap5b p0118.chsbc77r Arabidopsis 3776575 58.5
      112 Hap5c cco1n.pk055.o18 Rice 5257260 41.0
      114 Hap5c cho1c.pk001.l23:fis Rice 5257260 82.0
      116 Hap5c cse1c.pk001.h6:fis Rice 5257260 86.4
      118 Hap5a rlm3n.pk005.d20:fis Arabidopsis 6523090 66.7
      120 Hap5b rr1.pk0003.a3:fis Arabidopsis 6289057 58.5
      122 Hap5b rr1.pk0039.d4:fis Arabidopsis 3776575 57.2
      124 Hap5c rca1n.pk021.b20:fis Rice 5257260 74.0
      126 Hap5a sdp2c.pk029.k17:fis Arabidopsis 6523090 90.5
      128 Hap5a sdp2c.pk044.e5:fis Arabidopsis 6523090 92.4
      130 Hap5b sgs4c.pk004.j2 Arabidopsis 3776575 18.5
      132 Hap5b src3c.pk002.h4:fis Arabidopsis 6289057 61.1
      134 Hap5b src3c.pk009.b15:fis Arabidopsis 6289057 61.5
      136 Hap5b src3c.pk019.d4:fis Arabidopsis 6056368 51.5
      138 Hap5c sls1c.pk032.j4:fis Arabidopsis 6289057 74.5
      140 Hap5 wdk2c.pk009.e4:fis Rice 5257260 20.0
      142 Hap5a Contig of: Arabidopsis 9758288 19.7
      wlm96.pk036.j11
      wlm96.pk060.d5:fis
      144 Hap5c wle1n.pk0076.h7:fis Rice 5257260 82.0
      146 LIP 15 cco1n.pk068.f18:fis Corn 2130123 69.4
      148 LIP 15 cco1n.pk089.g17 Corn 2130123 54.0
      150 LIP 15 rls6.pk0066.c9:fis Rice 479696 77.3
      152 LIP 15 sdp4c.pk009.e3:fis Arabidopsis 7340713 36.1
      154 LIP 15 sdp3c.pk019.n1:fis pepper 4457221 45.7
      156 LIP 15 wl1n.pk0114.f9:fis Corn 2130123 69.1
      158 Ca2+ EF HP ccase-b.pk0003.b9:fis Sesame 6478218 82.7
      160 Ca2+ EF HP ceb5.pk0081.b4 Sesame 6478218 91.0
      162 Ca2+ EF HP cbn10.pk0064.e6 Sesame 6478218 35.4
      164 Ca2+ EF HP cml1c.pk001.e2 Sesame 6478218 30.3
      166 Ca2+ EF HP cpd1c.pk008.e21 Sesame 6478218 64.2
      168 Ca2+ EF HP cta1n.pk0074.h11 Sesame 6478218 24.1
      170 Ca2+ EF HP p0031.ccmbc81r Sesame 6478218 26.4
      172 Ca2+ EF HP p0134.carah47r Sesame 6478218 34.2
      174 Ca2+ EF HP rca1n.pk021.l20 Sesame 6478218 50.2
      176 Ca2+ EF HP rca1n.pk004.j14:fis Rice 7459612 69.0
      178 Ca2+ EF HP rca1n.pk026.m9 Sesame 6478218 29.7
      180 Ca2+ EF HP rsl1n.pk013.g2 Sesame 6478218 27.7
      182 Ca2+ EF HP sfl1.pk131.j19 Sesame 6478218 29.2
      184 Ca2+ EF HP sfl1.pk135.g3 Sesame 6478218 29.5
      186 Ca2+ EF HP sgc5c.pk001.h16 Sesame 6478218 25.5
      188 Ca2+ EF HP sls1c.pk020.h24 Sesame 6478218 16.5
      190 Ca2+ EF HP sr1.pk0041.a11:fis Sesame 6478218 47.0
      192 Ca2+ EF HP sr1.pk0049.c2 Sesame 6478218 17.4
      194 Ca2+ EF HP wdk5c.pk006.m13 Sesame 6478218 41.4
      196 Ca2+ EF HP wdk9n.pk001.k5 Sesame 6478218 40.7
      198 Ca2+ EF HP wdr1f.pk003.b21:fis Arabidopsis 2459421 65.0
      200 ATP Cit Ly1 cdo1c.pk001.c1:fis Arabidopsis 3482918 180.0
      202 ATP Cit Ly2 ctn1c.pk002.o4 Arabidopsis 9759429 180.0
      204 ATP Cit Ly1 p0032.crcav77r:fis Arabidopsis 9759429 180.0
      206 ATP Cit Ly1 p0037.crwbs90r:fis Arabidopsis 3482918 180.0
      208 ATP Cit Ly1 r10n.pk0015.a4:fis Arabidopsis 3482918 180.0
      210 ATP Cit Ly1 rlr2.pk0012.d2 Arabidopsis 3482918 23.5
      212 ATP Cit Ly1 rr1.pk097.f22:fis Arabidopsis 3482918 180.0
      214 ATP Cit Ly2 rls6.pk0033.a9:fis Arabidopsis 9759429 180.0
      216 ATP Cit Ly2 sdp2c.pk023.n6:fis Arabidopsis 9759429 180.0
      218 ATP Cit Ly1 sfl1.pk0029.h10:fis Arabidopsis 2462746 180.0
      220 ATP Cit Ly2 sic1c.pk003.o13:fis Arabidopsis 9759429 180.0
      222 ATP Cit Ly1 sls1c.pk010.l1:fis Arabidopsis 3482918 180.0
      224 ATP Cit Ly2 sls2c.pk007.c23:fis Sordaria 4107343 180.0
      226 ATP Cit Ly1 src2c.pk009.g9:fis Arabidopsis 2462746 180.0
      228 ATP Cit Ly2 wde1f.pk003.h2:fis Arabidopsis 9759429 180.0
      230 ATP Cit Ly1 wia1c.pk001.d20:fis Arabidopsis 3482918 180.0
      232 ATP Cit Ly2 wlm96.pk035.j11:fis Sordaria 4107343 180.0
      234 SNF1 cen3n.pk0044.b8:fis Arabidopsis 5051782 180.0
      236 SNF1 p0016.ctsbf56rb Oryza sativa 4107001 180.0
      238 SNF1 p0118.chsbh89r Oryza sativa 4107009 180.0
      240 SNF1 Contig of: Oryza sativa 4107009 180.0
      cen3n.pk0123.g6
      cho1lc.pk021.k16
      cmm.pk007.c3.f
      p0019.clwab75rb
      p0119.cmtmj75r
      p0123.cammb73r
      p0126.cnlds35r
      242 SNF1 Contig of: Arabidopsis 4895200 58.3
      rda.pk007.g3
      rr1.pk0008.e12
      rr1.pk0047.g12
      244 SNF1 rr1.pk0047.g12:fis Arabidopsis 7630013 143.0
      246 SNF1 sdp4c.pk016.e10 Arabidopsis 2980770 180.0
      248 SNF1 sdr1f.pk001.p7 Cucumis 1743009 180.0
      250 SNF1 sgs4c.pk006.g6 Arabidopsis 2980770 180.0
      252 SNF1 sgs4c.pk006.n21 Glycine max 4567091 180.0
      254 SNF1 srr1c.pk001.i24:fis Arabidopsis 3885328 180.0
      256 SNF1 wdk2c.pk018.c16:fis Oryza sativa 4107001 180.0
      258 SNF1 wlm96.pk0007.e4:fis Oryza sativa 4107009 180.0
      260 Lec1 eas1c.pk003.e16 Arabidopsis 9758795 49.2
      262 Lec1 fds1n.pk008.m14 Arabidopsis 9758795 46.1
      264 Lec1 p0015.cdpg75rb:fis Arabidopsis 9758795 45.4
      266 Lec1 p0083.clder12r:fis Arabidopsis 6552738 35.2
      268 Lec1 pps1c.pk002.l19 Arabidopsis 9758795 45.2
      270 Lec1 Contig of: Arabidopsis 9758795 47.4
      scb1c.pk004.j10
      se1.pk0042.d8:fis
      272 Lec1 se2.11d12:fis Arabidopsis 9758795 52.2
      274 Lec1 ses2w.pk0015.a4:fis Arabidopsis 9758795 43.7
      276 Lec1 vs1n.pk013.m13:fis Arabidopsis 9758795 53.1
      278 Lec1 wdk3c.pk023.h15:fis Arabidopsis 9758795 36.7
      280 Lec1-CCAAT ect1c.pk007.p18:fis Zea mays 22380 44.7
      282 Lec1-CCAAT fds.pk0003.h5:fis Arabidopsis 6729485 57.7
      284 Lec1-CCAAT eef1c.pk004.c8:fis Zea mays 22380 61.7
      286 Lec1-CCAAT cbn10.pk0005.e6:fis Zea mays 22380 72.2
      288 Lec1-CCAAT p0006.cbysa51r:fis Arabidopsis 2244810 55.5
      290 Lec1-CCAAT rl0n.pk0061.c8:fis Zea mays 22380 46.5
      292 Lec1-CCAAT rsl1n.pk002.g10:fis Zea mays 22380 68.7
      294 Lec1-CCAAT ses4d.pk0037.e3:fis Arabidopsis 2398529 49.0
      296 Lec1-CCAAT src2c.pk003.i13:fis Arabidopsis 3738293 41.1
      298 Lec1-CCAAT src2c.pk011.m12:fis Arabidopsis 6729485 62.0
      300 Lec1-CCAAT src2c.pk025.b3:fis Zea mays 22380 45.5
      302 Lec1-CCAAT src3c.pk028.j21:fis Zea mays 22380 54.3
      304 Lec1-CCAAT wkm1c.pk0002.d7:fis Zea mays 22380 79.5
      306 Lec1-CCAAT wlk8.pk0001.e10:fis Arabidopsis 2398529 52.7
      308 Lec1-CCAAT wlm96.pk037.k9:fis Zea mays 22380 73.5
      310 CKC 6 fds1n.pk015.l15 Arabidopsis 2887500 28.3
      312 CKC 2 contig of: Arabidopsis 11357162 77.4
      ece1c.pk003.g23
      ece1c.pk005.j13
      314 CKC8 ids.pk0022.b6 Zeamays 7489754 40.0
      316 CKC 1 contig of: Arabidopsis 2129537 56.2
      cpd1c.pk011.i5
      p0086.cbsaa24r:fis
      318 CKC 1 cpd1c.pk011.i5:fis Arabidopsis 2129537
      320 CKC 2 cde1c.pk003.o22:fis Arabidopsis 6587812 73.1
      322 CKC2 cho1c.pk003.f17:fis Arabidopsis 1171429 61.2
      324 CKC 5 contig of: Arabidopsis 6587812 75.2
      cds1f.pk003.b12
      clm1f.pk002.o13:fis
      326 CKC2 p0015.cdpfno3r No hit
      328 CKC3 contig of: Arabidopsis 6648171 66.2
      cc71se-a.pk0002.e11
      p0027.cgsag51r:fis
      330 CKC 6 p0031.ccmau15r:fis Arabidopsis 2887500 99.0
      332 CKC 8 cc71se- Zea mays 7489754 180.0
      b.pk0018.e4:fis
      334 CKC 7 cpj1c.pk005.m20:fis Zea mays 2652938 180.0
      336 CKC 8 cen7f.pk002.m15 Zea mays 7489754 34.0
      338 CKC 8 rsl1n.pk006.n24:fis Zea mays 7489754 180.0
      340 CKC 8 Contig of: Arabidopsis 6648171 62.1
      rca1n.pk019.p10
      rsl1n.pk002.j2:fis
      342 CKC 1 rdi2c.pk009.a15 Arabidopsis 2129537 87.7
      344 CKC 2 sds1f.pk001.f7:fis Arabidopsis 6587812 108.0
      346 CKC 2 se3.pk0034.a3 Arabidopsis 7715603 30.0
      348 CKC 6 ses2w.pk0035.a9:fis Arabidopsis 2652938 162.0
      350 CKC 4 ses4d.pk0043.d10:fis Arabidopsis 4836931 58.0
      352 CKC 5 scb1c.pk004.n19:fis Arabidopsis 4836931 109.0
      354 CKC 5 ses4d.pk0006.a12:fis Arabidopsis 4836931 109.0
      356 CKC 5 sgs1c.pk004.f19:fis
      358 CKC 8 sic1c.pk003.o18:fis Zea mays 2652938 107.0
      360 CKC 8 sde4c.pk0001.a2:fis Arabidopsis 1171429 98.0
      362 CKC 3 ses2w.pk0012.d10:fis Arabidopsis 9294411 177.0
      364 CKC 1 Contig of: Arabidopsis 6648171 54.7
      wde1f.pk001.h1
      wr1.pk148.f7:fis
      459 Lec1 rice genome seq Oryza sativa 7378310 180
      461 Hap2 ncs.pk0013.c4:fis Arabidopsis 9293997 46.7
      463 Hap2 p0117.chcln94r:fis Oryza sativa 1489565 26.0
      465 Hap2 rdi2c.pk011.f19:fis Oryza sativa 1489565 45.0
      467 Hap2 sfl1.pk0101.g7:fis Vitis sp. 7141243 38.4
      469 Hap2 wdi1c.pk002.b10:fis Oryza sativa 1489565 40.3
      474 Hap5 sgs4c.pk004.j2:fis Arabidopsis 15223482 69.0
      477 CKC 2 fds1n.pk015.l15:fis Arabidopsis 18394319 77.3
      479 CKC 2 ece1c.pk003.g23:fis Arabidopsis 18394319 77.3
      481 CKC 2 se3.pk0034.a3:fis Arabidopsis 18394319 77.3
      483 CKC 4 sre.pk0037.c1:fis Arabidopsis 15238174 157.0
      485 CKC 7 ncs.pk0013.a9:fis Oryza sativa 20161013 96.7
      487 CKC 8 egh1c.pk005.k20 Oryza sativa 20161013 98.5
      489 CKC 8 cde1c.pk003.n23:fis Zea mays 7489754 110.0
      491 CKC 1 sde4c.pk0001.a2:fis Arabidopsis 1171429 98.0
      493 MEK3 sr3.pk011.g22:fis Arabidopsis 4006878 91.3
      495 MEK3 r10n.pk096.h23:fis Arabidopsis 7487975 63.4
      497 MEK3 rlr24.pk0032.e10:fis Arabidopsis 7487975 63.5
      499 Ca2+ EF HP cml1c.pk001.e2:fls Sesame 6478218 41.5
      501 Ca2+ EF HP cdp1c.pk008.e21:fis Sesame 6478218 65.0
      503 Ca2+ EFHP cta1n.pk0074.h11:fis Sesame 6478218 37.0
      505 Ca2+ EF HP p0031.ccmbc81r:fis Sesame 6478218 65.7
      507 Ca2+ EF HP p0134.carah47r:fis Sesame 6478218 34.7
      509 Ca2+ EF HP rca1n.pk004.j14:fis Oryza sativa 1177320 69.0
      511 Ca2+ EF HP rsl1n.pk013.g2:fis Sesame 6478218 41.5
      513 Ca2+ EF HP sfl1.pk131.j19:fis Sesame 6478218 47.7
      515 Ca2+ EF HP sfl1.pk135.g3:fis Sesame 6478218 47.7
      517 Ca2+ EF HP sls1c.pk020.h24:fis Sesame 6478218 47.4
      519 Ca2+ EF HP sr1.pk0041.a11:fis Sesame 6478218 47.0
      521 Ca2+ EF HP sr1.pk0049.c2:fis Sesame 6478218 48.0
      523 Ca2+ EF HP wdk5c.pk006.m13:fis Sesame 6478218 80.0
      525 Ca2+ EF HP wdk9n.pk001.k5:fis Sesame 6478218 83.0
      527 Ca2+ EF HP wdk1f.pk003.b21:fis Arabidopsis 2459421 65.0
      indicates data missing or illegible when filed
    • [0228]
      The sequence of the entire cDNA insert in the clones listed in Table 3 was determined. Further sequencing and searching of the DuPont proprietary database allowed the identification of other corn, rice, soybean and/or wheat clones encoding polypeptides involved in altering oil phenotypes. The BLASTX search using the sequences from clones listed in Table 4 revealed similarity of the polypeptides encoded by the various cDNAs from plant and fungal species (noted by their NCBI General Identifier No. in Tables 3 and 4). Shown in Table 4 are the BLAST results for individual ESTs (“EST”), the sequences of the entire cDNA inserts comprising the indicated cDNA clones (“FIS”), sequences of contigs assembled from two or more ESTs (“Contig”), sequences of contigs assembled from an FIS and one or more ESTs (“Contig*”), or sequences encoding the entire protein derived from an FIS, a contig, or an FIS and PCR (“CGS”):
    • [0000]
      TABLE 4
      Percent Identity of Amino Acid Sequences Deduced From the Nucleotide
      Sequences of cDNA Clones Encoding Polypeptides Homologous to
      Polypeptides Involved in Altering Plant Oil Phenotypes
      SEQ ID NO. Accession No. Percent Identity
      2 3063445 33.3%
      4 83.9%
      6 1362112 51.2%
      8 1362112 66.8%
      10 7487975 27.5%
      12 7487976 39.7%
      14 45.6%
      16 4006878 42.7%
      18 1586551 23.4%
      20 7489565 27.4%
      22 11282597  22.1%
      26 7489565 36.1%
      28 7489565 67.2%
      30 7489565 70.6%
      32 7489565 33.2%
      34 6634774 40.1%
      36 6634774 39.1%
      38 7489565 28.2%
      40 7489565 53.2%
      42 7489565 34.0%
      44 7489565 39.5%
      46 7489565 39.5%
      48 7489565 35.5%
      50 4587559 54.1%
      52 7489565 67.2%
      54 7489565 29.0%
      56 9293997 31.5%
      58 5903072 35.3%
      62 5903072 33.7%
      64 7141243 34.5%
      66 7489565 35.7%
      68 7489565 27.2%
      70 8778470 40.5%
      72 7489565 22.1%
      74 2398521 49.1%
      76 7141243 40.9%
      78 1586551 37.8%
      80 6634774 49.2%
      82 6714441 32.5%
      84 7489565 32.4%
      86 7489565 31.1%
      88 9293997 40.6%
      90 7489565 68.5%
      92 6634774 36.5%
      94 6714441 23.7%
      96 7489565 34.5%
      98 7489565 37.4%
      100 5257260 62.9%
      102 6523090 77.7%
      104 6523090 53.8%
      106 3776575 50.7%
      108 3776575 51.6%
      110 3776575 60.0%
      112 5257260 62.7%
      114 5257260 75.0%
      116 5257260 77.5%
      118 6523090 53.8%
      120 6289057 50.6%
      122 3776575 52.1%
      124 5257260 77.9%
      126 6523090 70.3%
      128 6523090 70.7%
      130 3776575 35.7%
      132 6289057 53.2%
      134 6289057 52.8%
      136 6056368 73.0%
      138 6289057 57.1%
      140 5257260 27.3%
      142 9758288 46.3%
      144 5257260 74.9%
      148 2130123 83.0%
      152 7340713 50.7%
      154 4457221 56.9%
      158 6478218 57.0%
      160 6478218 61.9%
      162 6478218 33.6%
      164 6478218 41.3%
      166 6478218 46.9%
      168 6478218 46.6%
      170 6478218 48.4%
      172 6478218 31.8%
      174 6478218 64.4%
      176 7459612 49.8%
      178 6478218 62.1%
      180 6478218 36.7%
      182 6478218 46.5%
      184 6478218 45.3%
      186 6478218 53.8%
      188 6478218 47.5%
      190 6478218 41.3%
      192 6478218 52.5%
      194 6478218 57.2%
      196 6478218 58.4%
      198 2459421 42.4%
      200 3482918 85.4%
      202 9759429 92.1%
      204 9759429 92.3%
      206 3482918 87.4%
      208 3482918 87.0%
      210 3482918 63.3%
      212 3482918 87.5%
      214 9759429 92.8%
      216 9759429 89.6%
      218 2462746 84.4%
      220 9759429 93.3%
      222 3482918 87.5%
      224 4107343 89.8%
      226 2462746 88.9%
      228 9759429 91.8%
      230 3482918 87.9%
      232 4107343 90.1%
      244 7630013 63.0%
      256 4107001 89.2%
      258 4107009 81.2%
      260 9758795 49.0%
      262 9758795 49.7%
      264 9758795 49.8%
      266 6552738 38.9%
      310 2887500 45.3%
      312 11357162  68.8%
      316 2129537 37.2%
      318 2129537 37.2%
      320 6587812 43.1%
      328 6648171 36.2%
      330 2887500 41.6%
      332 7489754 87.0%
      338 7489754 66.1%
      342 2129537 83.1%
      344 6587812 60.9%
      348 2652938 41.6%
      352 4836931 40.5%
      354 4836931 39.3%
      358 2652938 42.3%
      362 9294411 49.8%
      477 18394319  44.1%
      479 18394319  44.3%
      481 18394319  42.3%
      483 15238174  50.4%
      485 20161013  42.1%
      487 20161013  40.7%
      489 7489754 44.1%
      491 1171429 36.4%
      493 4006878 46.3%
      495 7487975 31.2%
      497 7487975 30.0%
      499 6478218 37.5%
      501 6478218 48.5%
      503 6478218 44.3%
      505 6478218 48.4%
      507 6478218 35.0%
      509 1177320 54.2%
      511 6478218 40.0%
      513 6478218 46.5%
      515 6478218 47.5%
      517 6478218 47.5%
      519 6478218 45.8%
      521 6478218 47.0%
      523 6478218 57.2%
      525 6478218 58.6%
      527 2459421 49.1%
      indicates data missing or illegible when filed
    • [0229]
      Sequence alignments and percent identity calculations were performed using the Megalign program of the LASERGENE bioinformatics computing suite (DNASTAR Inc., Madison, Wis.). Multiple alignment of the sequences was performed using the Clustal method of alignment (Higgins and Sharp (1989) CABIOS. 5:151-153) with the default parameters (GAP PENALTY=10, GAP LENGTH PENALTY=10). Default parameters for pairwise alignments using the Clustal method were KTUPLE 1, GAP PENALTY=3, WINDOW=5 and DIAGONALS SAVED=5. Sequence alignments and BLAST scores and probabilities indicate that the nucleic acid fragments comprising the instant cDNA clones encode a substantial portion of cDNAs to receptor protein kinases, MEK3 homologs, Hap2 homologs, LIP 15 homologs, calcium EF-hand proteins, ATP citrate lyase, glucose metabolism proteins such as SNF1 homologs, Lec1 transcription factors, and seed developmentally regulated transcription factors such as CKC (Aintegumenta-like) homologs.
    • Example 4 Expression of Chimeric Constructs in Monocot Cells
    • [0230]
      A chimeric construct comprising a cDNA encoding the instant polypeptides in sense orientation with respect to the maize 27 kD zein promoter that is located 5′ to the cDNA fragment, and the 10 kD zein 3′ end that is located 3′ to the cDNA fragment, can be constructed. The cDNA fragment of this gene may be generated by polymerase chain reaction (PCR) of the cDNA clone using appropriate oligonucleotide primers. Cloning sites (NcoI or SmaI) can be incorporated into the oligonucleotides to provide proper orientation of the DNA fragment when inserted into the digested vector pML103 as described below. Amplification is then performed in a standard PCR. The amplified DNA is then digested with restriction enzymes NcoI and SmaI and fractionated on an agarose gel. The appropriate band can be isolated from the gel and combined with a 4.9 kb NcoI-SmaI fragment of the plasmid pML103. Plasmid pML103 has been deposited under the terms of the Budapest Treaty at ATCC (American Type Culture Collection, 10801 University Blvd., Manassas, Va. 20110-2209), and bears accession number ATCC 97366. The DNA segment from pML103 contains a 1.05 kb SalI-NcoI promoter fragment of the maize 27 kD zein gene and a 0.96 kb SmaI-SalI fragment from the 3′ end of the maize 10 kD zein gene in the vector pGem9Zf(+) (Promega). Vector and insert DNA can be ligated at 15° C. overnight, essentially as described (Maniatis). The ligated DNA may then be used to transform E. coli XL1-Blue (Epicurian Coli XL-1 Blue™; Stratagene). Bacterial transformants can be screened by restriction enzyme digestion of plasmid DNA and limited nucleotide sequence analysis using the dideoxy chain termination method (Sequenase™ DNA Sequencing Kit; U.S. Biochemical). The resulting plasmid construct would comprise a chimeric gene encoding, in the 5′ to 3′ direction, the maize 27 kD zein promoter, a cDNA fragment encoding the instant polypeptides, and the 10 kD zein 3′ region.
    • [0231]
      The chimeric construct described above can then be introduced into corn cells by the following procedure. Immature corn embryos can be dissected from developing caryopses derived from crosses of the inbred corn lines H99 and LH132. The embryos are isolated 10 to 11 days after pollination when they are 1.0 to 1.5 mm long. The embryos are then placed with the axis-side facing down and in contact with agarose-solidified N6 medium (Chu et al (1975) Sci. Sin. Peking 18:659-668). The embryos are kept in the dark at 27° C. Friable embryogenic callus consisting of undifferentiated masses of cells with somatic proembryoids and embryoids borne on suspensor structures proliferates from the scutellum of these immature embryos. The embryogenic callus isolated from the primary explant can be cultured on N6 medium and sub-cultured on this medium every 2 to 3 weeks.
    • [0232]
      The plasmid, p35S/Ac (obtained from Dr. Peter Eckes, Hoechst Ag, Frankfurt, Germany) may be used in transformation experiments in order to provide for a selectable marker. This plasmid contains the Pat gene (see European Patent Publication 0 242 236) which encodes phosphinothricin acetyl transferase (PAT). The enzyme PAT confers resistance to herbicidal glutamine synthetase inhibitors such as phosphinothricin. The pat gene in p35S/Ac is under the control of the 35S promoter from Cauliflower Mosaic Virus (Odell et al (1985) Nature 313:810-812) and the 3′ region of the nopaline synthase gene from the T-DNA of the Ti plasmid of Agrobacterium tumefaciens.
    • [0233]
      The particle bombardment method (Klein et al (1987) Nature 327:70-73) may be used to transfer genes to the callus culture cells. According to this method, gold particles (1 μm in diameter) are coated with DNA using the following technique. Ten μg of plasmid DNAs are added to 50 μL of a suspension of gold particles (60 mg per ml). Calcium chloride (50 μL of a 2.5 M solution) and spermidine free base (20 μL of a 1.0 M solution) are added to the particles. The suspension is vortexed during the addition of these solutions. After 10 minutes, the tubes are briefly centrifuged (5 sec at 15,000 rpm) and the supernatant removed. The particles are resuspended in 200 μL of absolute ethanol, centrifuged again and the supernatant removed. The ethanol rinse is performed again and the particles resuspended in a final volume of 30 μL of ethanol. An aliquot (5 μL) of the DNA-coated gold particles can be placed in the center of a Kapton™ flying disc (Bio-Rad Labs). The particles are then accelerated into the corn tissue with a Biolistic™ PDS-1000/He (Bio-Rad Instruments, Hercules Calif.), using a helium pressure of 1000 psi, a gap distance of 0.5 cm and a flying distance of 1.0 cm.
    • [0234]
      For bombardment, the embryogenic tissue is placed on filter paper over agarose-solidified N6 medium. The tissue is arranged as a thin lawn and covered a circular area of about 5 cm in diameter. The petri dish containing the tissue can be placed in the chamber of the PDS-1000/He approximately 8 cm from the stopping screen. The air in the chamber is then evacuated to a vacuum of 28 inches of Hg. The macrocarrier is accelerated with a helium shock wave using a rupture membrane that bursts when the He pressure in the shock tube reaches 1000 psi.
    • [0235]
      Seven days after bombardment the tissue can be transferred to N6 medium that contains bialophos (5 mg per liter) and lacks casein or proline. The tissue continues to grow slowly on this medium. After an additional 2 weeks the tissue can be transferred to fresh N6 medium containing bialophos. After 6 weeks, areas of about 1 cm in diameter of actively growing callus can be identified on some of the plates containing the bialophos-supplemented medium. These calli may continue to grow when sub-cultured on the selective medium.
    • [0236]
      Plants can be regenerated from the transgenic callus by first transferring clusters of tissue to N6 medium supplemented with 0.2 mg per liter of 2,4-D. After two weeks the tissue can be transferred to regeneration medium (Fromm et al (1990) Bio/Technology 8:833-839).
    • Example 5 Expression of Chimeric Constructs in Dicot Cells
    • [0237]
      A seed-specific expression cassette composed of the promoter and transcription terminator from the gene encoding the β subunit of the seed storage protein phaseolin from the bean Phaseolus vulgaris (Doyle et al (1986) J. Biol. Chem. 261:9228-9238) can be used for expression of the instant polypeptides in transformed soybean. The phaseolin cassette includes about 500 nucleotides upstream (5′) from the translation initiation codon and about 1650 nucleotides downstream (3′) from the translation stop codon of phaseolin. Between the 5′ and 3′ regions are the unique restriction endonuclease sites Nco I (which includes the ATG translation initiation codon), Sma I, Kpn I and Xba I. The entire cassette is flanked by Hind III sites.
    • [0238]
      The cDNA fragment of this gene may be generated by polymerase chain reaction (PCR) of the cDNA clone using appropriate oligonucleotide primers. Cloning sites can be incorporated into the oligonucleotides to provide proper orientation of the DNA fragment when inserted into the expression vector. Amplification is then performed as described above, and the isolated fragment is inserted into a pUC18 vector carrying the seed expression cassette.
    • [0239]
      Soybean embryos may then be transformed with the expression vector comprising sequences encoding the instant polypeptides. To induce somatic embryos, cotyledons, 3-5 mm in length dissected from surface sterilized, immature seeds of the soybean cultivar A2872, can be cultured in the light or dark at 26° C. on an appropriate agar medium for 6-10 weeks. Somatic embryos which produce secondary embryos are then excised and placed into a suitable liquid medium. After repeated selection for clusters of somatic embryos which multiplied as early, globular staged embryos, the suspensions are maintained as described below.
    • [0240]
      Soybean embryogenic suspension cultures can be maintained in 35 mL liquid media on a rotary shaker, 150 rpm, at 26° C. with florescent lights on a 16:8 hour day/night schedule. Cultures are subcultured every two weeks by inoculating approximately 35 mg of tissue into 35 mL of liquid medium.
    • [0241]
      Soybean embryogenic suspension cultures may then be transformed by the method of particle gun bombardment (Klein et al (1987) Nature (London) 327:70-73, U.S. Pat. No. 4,945,050). A DuPont Biolistic™ PDS1000/HE instrument (helium retrofit) can be used for these transformations.
    • [0242]
      A selectable marker gene which can be used to facilitate soybean transformation is a chimeric gene composed of the 35S promoter from Cauliflower Mosaic Virus (Odell et al (1985) Nature 313:810-812), the hygromycin phosphotransferase gene from plasmid pJR225 (from E. coli; Gritz et al (1983) Gene 25:179-188) and the 3′ region of the nopaline synthase gene from the T-DNA of the Ti plasmid of Agrobacterium tumefaciens. The seed expression cassette comprising the phaseolin 5′ region, the fragment encoding the instant polypeptides and the phaseolin 3′ region can be isolated as a restriction fragment. This fragment can then be inserted into a unique restriction site of the vector carrying the marker gene.
    • [0243]
      To 50 μL of a 60 mg/mL 1 μm gold particle suspension is added (in order): 5 μL DNA (1 μg/μL), 20 μL spermidine (0.1 M), and 50 μL CaCl2 (2.5 M). The particle preparation is then agitated for three minutes, spun in a microfuge for 10 seconds and the supernatant removed. The DNA-coated particles are then washed once in 400 μL 70% ethanol and resuspended in 40 μL of anhydrous ethanol. The DNA/particle suspension can be sonicated three times for one second each. Five μL of the DNA-coated gold particles are then loaded on each macro carrier disk.
    • [0244]
      Approximately 300-400 mg of a two-week-old suspension culture is placed in an empty 60×15 mm petri dish and the residual liquid removed from the tissue with a pipette. For each transformation experiment, approximately 5-10 plates of tissue are normally bombarded. Membrane rupture pressure is set at 1100 psi and the chamber is evacuated to a vacuum of 28 inches mercury. The tissue is placed approximately 3.5 inches away from the retaining screen and bombarded three times. Following bombardment, the tissue can be divided in half and placed back into liquid and cultured as described above.
    • [0245]
      Five to seven days post bombardment, the liquid media may be exchanged with fresh media, and eleven to twelve days post bombardment with fresh media containing 50 mg/mL hygromycin. This selective media can be refreshed weekly. Seven to eight weeks post bombardment, green, transformed tissue may be observed growing from untransformed, necrotic embryogenic clusters. Isolated green tissue is removed and inoculated into individual flasks to generate new, clonally propagated, transformed embryogenic suspension cultures. Each new line may be treated as an independent transformation event. These suspensions can then be subcultured and maintained as clusters of immature embryos or regenerated into whole plants by maturation and germination of individual somatic embryos.
    • Example 6 Gene Profiling of Corn Lines Displaying High Oil Phenotype Plant Material.
    • [0246]
      Seeds from the “maize lines” were germinated and grown in the field. Typical “maize lines” used are as follows:
      • 1) Qx47, IHO, Ask c.28, Ryd c.7 (herein called “high oil lines”);
      • 2) GS3, HG11, B73, Ask c.0, Ryd c.0 (herein called “normal oil” or “control lines”) and,
      • 3) ILO (herein called “low oil line”).
    • [0250]
      The ears of all plants were self-pollinated, and embryo tissues were collected at 10, 15, 20, 25, 30, 35, 40 and 45 DAP. All tissue was frozen immediately and stored at −80° C. until used. Total RNA was extracted followed by isolation of poly A+ RNA using standard molecular biology techniques (Sambrook et al (1989) “Molecular Cloning”, Cold Spring Harbor Laboratory Press, CSH, NY).
    • [0251]
      The goal was to identify regulatory/structural genes that control oil content and/or germ size in corn. Two different transcript profiling techniques were used namely DNA microarray (Schena et al (1995) Science 270:368-9, 371), Lynx comparator (Brenner et al (2000) Proc Natl Acad Sci USA 97:1665-70) and Lynx MPSS (Brenner et al (2000) Nat Biotechnol 18:630-4). These experiments were aimed at comparing transcription profiles between different high oil corn lines and their normal/low oil counterparts.
    • [0252]
      Molecular Dynamics Microarray Technology:
    • [0253]
      The steps of fluorescent mRNA probe labeling, amplification of target DNA, immobilization of target DNA on slide, hybridization to different developmental stage embryos of different corn lines, washings, signal detection, data acquisition and normalization of data were as described (Lee et al, 2001). The target DNA collection consisted of 900 corn EST's from DuPont Internal Database corresponding to genes expected to play a role in corn seed fatty acid, protein and carbohydrate metabolism and an additional 4000 random EST's from a corn embryo library also from DuPont Internal Database were selected. Gene profiling experiments were performed aimed at identifying genes differentially expressed in high oil germ lines when compared to lines with either normal or low levels of oil in the germ. Potential candidates were identified and selected if the relative gene expression of the gene in question showed a ratio of 2 or greater in at least one comparison involved at least one high oil line and either a low oil line or a line with normal levels of oil. Using this criteria to analyze these data we have identified two candidate regulatory genes whose expression is either altered when comparing the pattern of gene expression between the high oil lines and their normal/low oil counterparts (i.e. Ask cycle 28 to Ask cycle 0 ratio and/or IHO to ILO ratio): Caleosin (DuPont/Pioneer Internal Database EST ID# ccase-b.pk0003.b9, shown in SEQ ID NOs:157-158) or, showed a similar expression pattern as several genes encoding enzymes of the oil biosynthesis pathway: Aintegumenta (DuPont/Pioneer Internal Database EST ID# adf1c.pk009.n6, which is identical to the Arabidopsis thaliana clone found in GenBank Accession No. gi 1171429, shown in SEQ ID NO:424) and an additional corn clone, cho1c.pk003.f17:fis (SEQ ID NO:322). We have also identified four other potential regulatory candidate genes, which in addition to show elevated gene expression when compared “internally” within the high oil population lines are also elevated when high oil lines were compared to the control line B73: receptor-like protein kinase (DuPont/Pioneer Internal Database EST ID# cho1c.pk003.p17, SEQ ID NOs:1-2), MAP kinase kinase 3 (DuPont/Pioneer Internal Database EST ID# p0125.czaab60rb, SEQ ID NOs:7-8), HAP2 (DuPont/Pioneer Internal Database EST ID# cho1c.pk006.b14 which is a shorter clone of cho1c.pk004.b19:fis, shown in SEQ ID NOs:27-28), LIP15 (DuPont Internal Database EST ID# ceb3.pk0011.g9 which was replaced by clone cco1n.pk089.g17, shown in SEQ ID NOs:147-148).
    • [0254]
      Lynx (Comparator and MPSS):
    • [0255]
      Gene profiling by Lynx was performed as described (Brenner et al (2000) Proc Natl Acad Sci USA 97:1665-70). Using this criteria to analyze these data we have identified two candidate regulatory genes whose expression is either altered when comparing the pattern of gene expression between the high oil lines and their normal/low oil counterparts (i.e. Ask cycle 28 to Ask cycle 0 ratio and/or IHO to ILO ratio): HAP5 (DuPont/Pioneer Internal Database EST ID# cho1c.pk001.I23, SEQ ID NOs:113-114) and SNF1/AMPK from corn (DuPont/Pioneer Internal Database EST ID# cen3n.pk0150.c7 which is a shorter clone of p0019.clwab:fis, one of the sequences used in the contig shown in SEQ ID NOs:239-240).
    • [0256]
      Unlike the candidates listed above, other genes were chosen based on the knowledge of the role that the candidate gene they encode play in the partition of carbohydrate flux in the embryo: ATP-citrate lyase (DuPont Internal Database EST ID# cdo1c.pk001.c1, shown in SEQ ID NOs:199-200), SNF1/AMPK from soybean (DuPont/Pioneer Internal Database EST ID# sdp4c.pk016.e10, shown in SEQ ID NOs:245-246) or, regulation of gene expression in early embryo developmental phases: HAP3/Lec1 (DuPont/Pioneer Internal Database EST ID# p0015.cdpgp75rb, shown in SEQ ID NOs:263-264).
    • Example 7 Expression Vector for Plant Transformation by Particle Gun Bombardment
    • [0257]
      A seed specific gene expression cassette was used for making chimeric constructs for expression of candidate genes in corn. The expression cassette is composed of the 0.9 kb oleosin promoter, the intron 1 of the maize shrunken 1 gene and adjacent exon (Vasil et al, 1989, Plant Physiol 91: 1575-1579; Mascarenhas et al, 1990, Plant Mol Biol 15:913-920) and 3′ transcription termination region from the nopaline synthase (Nos) gene. In between the exon adjacent to the shrunken 1 gene and the nopaline synthase (Nos) gene are unique restriction endonuclease sites MfeI and XmaI. This vector has been designated pBN256 (REF. Jennie Shen's patent). pMUT256 refers to a pBN256 plasmid in which a EcoRI site has been removed by site directed mutagenesis. A modified version of pMUT256, designated pMUT256e was modified by additon of a synthetic multiple cloning site. The synthetic polylinker was generated by annealing of oligos (5′-acagtacagtacagtacagtacagt-3′) and (5′-actgtactgtactgtacgtgactg-3′) [SEQ ID NOs:430 and 431, respectively] and subsequent subcloning into the pMut256 open with MfeI and XmaI. Additional expression cassettes/vectors will be described in reference to specific examples where they have been used (see below).
    • Example 8 Isolation and Cloning of Candidate Genes into Embryo-Specific Plant Expression Vectors HAP3/LEC1 (Heme-Activated Protein 3/Leafy Cotyledon 1):
    • [0258]
      A full length clone (p0015.cdpgp75rb, SEQ ID NOs:263) for the corn homolog of the HAP3/Lec1 gene was obtained from Dupont/Pioneer EST Database. The ORF of maize HAP3/Lec1 (a 1 kb SalI/HpaI fragment, PCT Application No. WO 00/28058, published on May 18, 2000) was moved into an expression cassette containing a maize oleosin promoter (a 0.9 kb BamHI/XhoI fragment, PCT Application No. WO 99/64579, published on Dec. 16, 1999) and a polyadenylation sequence from the Agrobacterium nopaline synthase gene. This expression cassette was then subcloned adjacent to a 35S::Bar expression cassette (Sidorenko et al (2000) Plant J 22:471-482). The resulting expression cassettes flanked by T-DNA border sequences were then mobilized into the Agrobacterium “super-binary” vector (Komari, 1990) using electroporation. Additional constructs were made to confer expression patterns different from those obtained with the oleosin promoter. A ubiquitin promoter (UBI, Christensen et al (1992) Plant Mol Biol 18:675-680), a lipid transfer protein (LTP) promoter (U.S. Pat. No. 5,525,716), and a gamma zein promoter (GZP) (Boronat et al (1986) Plant Science 47: 95-102) were each fused to Lec1 as described above for the oleosin promoter. The two transcription units, LTP-Lec1 and GZP-Lec1, were combined into one expression construct next to the 35S:Bar expression construct and flanked by T-DNA border sequences (as described above).
    • HAP2 (Heme-Activated Protein 2):
    • [0259]
      A full length clone (cho1c.pk006.b14, a 30 nucleotide shorter cDNA than cho1c.pk004.b19:fis, shown in SEQ ID NO:27) for the corn homolog of the HAP2 gene was obtained from Dupont/Pioneer EST Database. The ApoI/ApaI 1.1 kb fragment of cho1c.pk006.b14 was isolated and subcloned into pMUT256e opened by digestion with EcoRI/ApaI. One clone was selected for corn transformation by restriction digestion analysis for correct insert size. Subcloning artifacts were excluded by 5′ and 3′ sequence of the vector-insert boundaries.
    • HAP5 (Heme-Activated Protein 5):
    • [0260]
      A full length clone (cho1c.pk001.I23, shown in SEQ ID NO:113) for the corn homolog of HAP5 gene was obtained from Dupont/Pioneer EST Database. The EcoRI/ApaI 1.1 kb fragment of cho1c.pk001.I23 was isolated and subcloned into pMUT256e opened by digestion with EcoRI/ApaI. One clone was selected for corn transformation after restriction digestion analysis for correct insert size. Subcloning artifacts were excluded by 5′ and 3′ sequence of the vector-insert boundaries.
    • Caleosin (Ca2+ EF-Hand Binding Protein):
    • [0261]
      A full length clone (ccase-b.pk0003.b9, shown in SEQ ID NO:157) for a corn homolog of the Caleosin gene was obtained from Dupont/Pioneer EST Database. Two open reading frames were amplified from this sequence using PCR. One ORF contains nucleotides 253-987 and was amplified using primers (CTCAATTGCCCGGGAACATGCACCACGGCCTGTCG and CCCGGGCTAGGACATCTTGGCGTGCT [SEQ ID NOs:432 and 433, respectively]), which introduce a MfeI restriction site just prior the translation start codon and a XmaI site just past the translation stop codon respectively.
    • [0262]
      The other ORF contains nucleotides 46-987 and was amplified using primers (AATTGATGCAGGGAGGGGCGACGGC and CCCGGGCTAGGACATCTTGGCGTGCT [SEQ ID NOs:434 and 435, respectively]), which introduce a MfeI restriction site just prior the translation start codon and a XmaI site just past the translation stop codon respectively.
    • [0263]
      The corresponding PCR fragments were cloned into the Topo-TA cloning vector (Invitrogen) and Ampicillin resistant colonies further analysed using restriction digest analysis. Three clones confirmed of containing the insert were sequenced and one of each subjected to MfeI-XmaI restriction digest and the corresponding 784 and 942 bp fragments were gel isolated and each cloned into the MfeI-XmaI site of pMut256. This constructs were designated SICEF26 & SICEF32, respectively. Insertion of the insert into pMut256 was confirmed by 5′ and 3′-end sequencing of the vector/insert boundaries.
    • LIP15 (Low Temperature-Induced Protein 15):
    • [0264]
      A full length clone (cco1n.pk089.g17, shown in SEQ ID NO:147) for a corn homolog of the HAP5 gene was obtained from Dupont/Pioneer EST Database. The XmaI/ApaI 0.8 kb fragment of cco1n.pk089.g17 was isolated and subcloned into pMUT256e opened by digestion with XmaI/ApaI. One clone was selected for corn transformation after restriction digestion analysis for correct insert size. Subcloning artifacts were excluded by 5′ and 3′ sequence of the vector-insert boundaries.
    • ANT (Aintegumenta):
    • [0265]
      A full length Arabidopsis thaliana clone (adf1c.pk009.n6, same as gi 1171429, shown in SEQ ID NO:424) for the Aintegumenta gene was obtained from Dupont's Expressed Sequence Tag's (EST's) Database and cloned into pMut256. For this purpose the open reading frame from clone adf1c.pk009.n6 was subjected to PCR using the primers [(GGCGCCAATTGATGAAGTCTTTTTGTGATAATGATGA and TCATACCCGGGTCAAGAATCAGCCCAAGCAG SEQ ID NOs:436 and 437, respectively]. These primers introduce a MfeI restriction site just prior to the translation initiation codon and a XmaI restriction site just past the stop codon, respectively.
    • [0266]
      The PCR fragment was gel isolated and subcloned into the Topo-TA sequencing vector (Invitrogen). Ampicillin resistant colonies were further analysed using restriction digest analysis diagnostic for the presence of the Aintegumenta gene. Three clones that contained the insert were sequenced. Two out of three sequences completely agreed with the sequence of clone adf1c.pk009.n6. One of these clones was subjected to a MfeI-XmaI digest and the corresponding 1668 bp fragment was gel isolated and cloned into the MfeI-XmaI site of pMut256, which was named SIANT. Insertion of the insert into pMut256 was confirmed by 5′ and 3′-end sequencing of the vector/insert boundaries.
    • [0267]
      Two additional gene expression cassettes were used for the specific expression of the Arabidopsis Aintegumenta in soybean. One of them is composed of the 35 S promoter of cauliflower mosaic virus (Odell et al (1985) Nature 313:810-812; Hull et al (1987) Virology 86:482-493) and 3′ nos terminator. The other is composed of the beta-conglycinin promoter and the Phaseolin 3′ terminator.
    • SNF1/AMPK (Sucrose Non-Fermenting 1/AMP-Dependent Protein Kinase, Corn Genes)
    • [0268]
      Full length clones for corn homologs of SNF1 gene (cen3n.pk0044.b8 [SEQ ID NO:233] and p0123.cammb73r, part of the contig shown in SEQ ID NO:239) were obtained from Dupont/Pioneer EST Database. The inserts were isolated and subcloned into pMUT256e opened by digestion with XmaI/ApaI. One clone was selected for corn transformation after restriction digestion analysis for correct insert size. Subcloning artifacts were excluded by 5′ and 3′ sequence of the vector-insert boundaries.
    • SNF1/AMPK (Sucrose Non-Fermenting 1/AMP-Dependent Protein Kinase, Soybean Gene).
    • [0269]
      A full length clone for a soybean homolog of the SNF1 gene obtained from clone sgs4c.pk006.n21 [SEQ ID NO:251] also known as MRK6. The ORF of MRK6 was amplified by using the primers (5′:AATTTCTAGAATGGACAGATCAACTGGCCG and 3′:GTGATCTAGACTAGAGAACACGTAGCTGTGAAAGGA [SEQ ID NOs:438 and 439, respectively]) containing XbaI sites. After PCR amplification the fragment containing the complete MRK6 ORF was subcloned into pCST2 plasmid. For subcloning of MRK6 into pMUT256e, the XbaI fragment of MRK6 was digested from pCST2, gel purified and subsequently made blunt-end by Klenow polymerase treatment. Thereafter, the blunt-ended MRK6 fragment was ligated to pMUT256e digested with SmaI. One clone showing the right insert size was selected for transformation. Subcloning artifacts were excluded by 5′ and 3′ sequence of the vector-insert boundaries.
    • ACL (ATP Citrate Lyase, Subunits 1 & 2):
    • [0270]
      Lipid biosynthesis is known to be localized in the plastids and therefore an enzyme that should resume a catalytic role in the biosynthesis of fatty acids, such as ATP Citrate lyase, has to be targeted to the plastid. Since the cloned corn ATP Citrate lyase is of cytosolic origin, it does not contain a signal peptide. A chloroplast transit sequence was therefore fused to Subunits 1 & 2 of the corn ATP Citrate lyase. The cts used was based on the small subunit of ribulose 1,5-bisphospate carboxylase from corn (Lebrun et al (1987) Nucleic Acid Res. 15:4360) and is designated mcts. For fusion between SU1 of ATP Citrate lyase and mcts, the transit sequence was amplified with primers (TCATACCCGGGTCAAGAATCAGCCCAAGCAG and CCCGGGAATTCGCACCGGATTCTTCCGCCGT [SEQ ID NOs:440 and 441, respectively]), which introduce a MfeI site at the 5′ end and XmaI and EcoRI site at the 3′ end. For fusion of the SU2 of ATP Citrate lyase to the mcts, the transit sequence was amplified with primers (CAATTGATGGCGCCCACCGTGATGAT and CCCGGGCTAGCCATGCACCGGATTCTTCCG [SEQ ID NOs:442 and 443, respectively]), which introduces a MfeI site at the 5′ end and NheI and XmaI site at the 3′ end. Each of the amplified Pcr products was subcloned into the Topo TA sequencing vector (Invitrogen). Ampicillin resistant colonies were further analyzed for presence of the inserts using restriction enzyme digests and three clones for each insert were sequenced. One of each of the clones, whose sequence agreed completely with the published sequence of the transit peptide, was submitted to an MfeI-XmaI digest and the corresponding 158 bp fragments were gel extracted and cloned into the MfeI-XmaI site of pMut256, which then were designated pMut257 and pMut258.
    • [0271]
      A full length clone (cdo1c.pk001.c1, SEQ ID NO:199) for Subunit 1 of the ATP citrate lyase gene was obtained from Dupont's EST database. An open reading frame encomprising nucleotides 66-1337 was amplified using Primers (CCCGGGCTAGCCATGCACCGGATTCTTCCG and CCCGGGTTACGCTGCAGCCATGATGC [SEQ ID NOs:444 and 445, respectively]. The 1271 bp PCR fragment was gel isolated and cloned into the Topo TA cloning vector. Ampicillin resistant colonies were further analysed for the presence of the insert using restriction enzyme analysis. 3 clones positive for the insert were sequenced. One of the sequenced clones was digested with EcoRI and XmaI and the corresponding fragment was gel extracted and cloned into the EcoRI-XmaI site of pMut257. In order to put the mcts in frame with the gene for ATP Citrate lyase subunit 1, a 184 bp KasI-Bsu361 fragment, which encomprises the EcoRI cloning site between the ATP sitrate lyase subunit 1 and the transit peptide, was isolated and substituted with a 178 pb KasI-Bsu361 fragment that has been generated using PCR amplification with the primers (GGATGGCGCCCACCGTGATGATGGC; CGCGCCATGCACCGGATTCTTCC; CTTCTTGCGCGCCATGCACCGGATTCT; GTACTCCCGGATCTTCTTGCGCGCCAT; CGCTTGGAGTCGTACTCCCGGATCTTCTTG; and GCTTCCTGAGGAGGCGCTTGGAGTCGTACTCCCG [SEQ ID NOs:446-451, respectively]). This fragment is void of the EcoRI site. Clones containing the insert, which was verified by restriction enzyme analysis were sequenced and the absence of the EcoRI site verified.
    • [0272]
      A full length clone (ctn1c.pk002.o4, SEQ ID NO:201) for subunit 2 of ATP Citrate lyase from corn was obtained from Dupont's EST Database. An open reading frame encompassing 1827 bp was amplified using primers ((ATGGCTAGCGGGCAACTTTTCTCA and GTACCCCCGGGTCACTTGGTGTAAAGTACATCCT [SEQ ID NOs:452 and 453, respectively]). Primer with Seq. ID NO: 452 introduces a NheI restriction site, which changes the third nucleotide in the second codon after the translation start from G to T, which does not result in a change in the amino acid sequence of the protein. The primer also changes the third codon from ACG to AGC which results in a change from threonine to serine in the protein. Primer with SEQ ID NO:453 introduces a XmaI site just past the stop codon of the Subunit 2 of the ATP citrate lyase gene. The resulting PCR fragment was subcloned into Topo TA sequencing vector (Invitrogen) and Ampicillin resistant colonies were further analyzed by restriction digest analysis and three clones positive for the insert were sequenced. All of three sequences appear to agree with the sequence of clone ctn1c.pk002.o4. One of the clones was digested with NheI and XmaI and the corresponding 1824 bp fragment was gel isolated and cloned into pMut 258. The resulting vector was called SIACL2 and presence of the insert was verified by 5′ and 3′-end sequencing of the vector/insert boundaries.
    • Map Kinase Kinase 3 (MAPKK3/MEK3)
    • [0273]
      A full length clone for a corn homolog of then MEK3 gene (p0125.czaab60rb:fis [SEQ ID NO:7]) was obtained from Dupont/Pioneer EST Database. The missing 5′ end of the corn MEK3 clone was amplified from a corn embryo cDNA library by PCR using a forward primer in the vector and a reverse one internal to EST clone p0125.czaab60rb:fis (GCCAAGCTCGGAATTAACCCTCA and CGCAGACCAAGCAATACTTT respectively, [SEQ ID NOs:454 and 455, respectively]). A full length corn MEK3 was constructed by joining this PCR-amplified MEK3 5′ end fragment into the p0125.czaab60rb:fis clone. The full-length MEK3 was confirmed by sequence. The coding region of the full-length MEK3 clone is PCR amplified using the primers GTTGAATTCCAGGGTGCATT and CGAAAGGAATTCTTCTAAATCCTC [SEQ ID NOs:456 and 457, respectively] which leaves terminal SmaI sites. The PCR product is digested with SmaI and subcloned into pMUT256e opened by digestion with SmaI. One clone is selected for corn transformation after restriction digestion analysis for correct insert size and orientation. Subcloning artifacts are excluded by 5′ and 3′ sequence of the vector-insert boundaries.
    • Example 9 Transformation of Immature Embryos by Particle Bombardment and Regeneration of Corn Plants
    • [0274]
      Immature maize embryos from greenhouse donor plants are bombarded with a plasmid containing the gene of the invention operably linked to a weak promoter, such as the nos promoter, or an inducible promoter, such as In2, plus a plasmid containing the selectable marker gene PAT (Wohlleben et al (1988) Gene 70:25-37) that confers resistance to the herbicide Bialaphos. Transformation is performed as follows. The ears are surface sterilized in 30% Chloral bleach plus 0.5% Micro detergent for 20 minutes, and rinsed two times with sterile water. The immature embryos are excised and placed embryo axis side down (scutellum side up), 25 embryos per plate. These are cultured on 560 L medium 4 days prior to bombardment in the dark. Medium 560 L is an N6-based medium containing Eriksson's vitamins, thiamine, sucrose, 2,4-D, and silver nitrate. The day of bombardment, the embryos are transferred to 560 Y medium for 4 hours and are arranged within the 2.5-cm target zone. Medium 560Y is a high osmoticum medium (560 L with high sucrose concentration). A plasmid vector comprising the gene of the invention operably linked to the selected promoter is constructed. This plasmid DNA plus plasmid DNA containing a PAT selectable marker is precipitated onto 1.1 μm (average diameter) tungsten pellets using a CaCl2 precipitation procedure as follows: 100 μl prepared tungsten particles in water, 10 μl (1 μg) DNA in TrisEDTA buffer (1 μg total), 100 μl 2.5 M CaCl2, 10 μl 0.1 M spermidine. Each reagent is added sequentially to the tungsten particle suspension, while maintained on the multitube vortexer. The final mixture is sonicated briefly and allowed to incubate under constant vortexing for 10 minutes. After the precipitation period, the tubes are centrifuged briefly, liquid removed, washed with 500 ml 100% ethanol, and centrifuged for 30 seconds. Again the liquid is removed, and 105 μl 100% ethanol is added to the final tungsten particle pellet. For particle gun bombardment, the tungsten/DNA particles are briefly sonicated and 10 μl spotted onto the center of each macrocarrier and allowed to dry about 2 minutes before bombardment. The sample plates are bombarded at level #4 in particle gun #HE34-1 or #HE34-2. All samples receive a single shot at 650 PSI, with a total of ten aliquots taken from each tube of prepared particles/DNA. Following bombardment, the embryos are kept on 560Y medium, an N6 based medium, for 2 days, then transferred to 560R selection medium, an N6 based medium containing 3 mg/liter Bialaphos, and subcultured every 2 weeks. After approximately 10 weeks of selection, selection-resistant callus clones are sampled for PCR and activity of the gene of interest. Positive lines are transferred to 288J medium, an N6 based medium with lower sucrose and hormone levels, to initiate plant regeneration. Following somatic embryo maturation (2-4 weeks), well-developed somatic embryos are transferred to medium for germination and transferred to the lighted culture room. Approximately 7-10 days later, developing plantlets are transferred to medium in tubes for 7-10 days until plantlets are well established. Plants are then transferred to inserts in flats (equivalent to 2.5″ pot) containing potting soil and grown for 1 week in a growth chamber, subsequently grown an additional 1-2 weeks in the greenhouse, then transferred to classic 600 pots (1.6 gallon) and grown to maturity. Plants are monitored for expression of the gene of interest.
    • Example 10 Transformation of Callus and Regeneration of Corn Plants Particle Gun Type II Callus Isolation and Maintenance.
    • [0275]
      After 10-21 days, type II callus is initiated from the scutellum and appears as a friable, embryogenic outgrowth of rapidly dividing cells. Callus is subcultured every 5-10 days and maintained on N6 medium supplemented with 1 mg/L 2,4-D (CM). These cultures are used in transformation experiments from 5 to 12 weeks after initiation.
    • Preparation of Callus for Transformation.
    • [0276]
      Proembryogenic type II callus is transferred to #4 Whatman filter paper on CM media. The CM plates with callus is wrapped with parafilm and incubated in the dark Conviron growth chamber (45% humidity, 27-28° C.) for two days before bombardment. Prior to bombardment, the osmotic plates are left partially ajar for thirty minutes in the laminar flow hood to allow moisture on the tissue to dissipate.
    • Gold Particle Preparation
    • [0277]
      Sixty mg of 0.6 micron gold is weighed out in a siliconized eppendorf tube (Axgen Microtubes—1.7 ml clear tube). The tube is left stationary for 15 minutes and spun down. The pellet is rinsed with sterile water three more times. Subsequently, one ml of sterile water is added to the gold pellet and vortexed for 10 minutes. The gold particles are divided into 50 ul aliquots.
    • DNA/Gold Preparation
    • [0278]
      Fifty μL of 0.6 micron gold in sterile dd H2O. A 2:1 molar ratio of trait gene:bar gene (usually ˜5-10 ug in total DNA) is added and vortexed. Subsequently, fifty μL of 2.5 M CaCl2 is added quickly into the suspension and vortexed followed by the addition of 20 μL of 0.1 M spermidine and vortexed and spun down. The pellet is rinsed 3× in 100% ethanol. The pellet is gently resuspended by tapping the side of the eppendorf tube several times. The DNA prep is stored in the 20° C. freezer.
    • Loading of the Macrocarrier
    • [0279]
      The DNA/gold prep is thawed and sonicated (2 strokes) in the Branson 200 Ultrasonic cleaner prior to the addition to macrocarriers. The suspension is mixed well by pipetting in and out. Immediately, 6 μl of DNA/gold suspension is dispensed quickly to the center of each macrocarrier. Once the DNA prep is dried onto the macrocarrier, the PDS-100/He Gun is used to bombard the maize callus cells with the DNA-coated gold particles.
    • Particle Gun Parameters.
    • [0280]
      Plates containing callus are the bombarded with the PDS-1000/He Gun using the following parameters: 1) DNA precipitated onto 0.6 μM Gold particles; 2) 8 cm distance from stopping screen; 3) 27-29 inches Hg vacuum; 4) 1050-1100 PSI He pressure.
    • [0281]
      Selection of Transgenic Callus Lines.
    • [0282]
      After 3-4 days of incubation in the dark chamber the callus is transferred (3-4 mm clumps) onto media containing 3-5 ppm bialaphos (SM3 or SM5). The SM plates are incubated in the dark at 27° C. for ˜7-14 days. Thereafter, all callus is transferred onto SM (5 ppm bialaphos) keeping track of unique lines as above. Each clump may be split into several pieces at this transfer.
    • [0283]
      Regeneration of Transgenic Maize Plants.
    • [0284]
      Callus events are isolated onto fresh SM medium, sampled for PCR (polymerase chain reaction) and placed on first-stage regeneration media (RM31). After 10-14 days, the proembryogenic callus are transferred onto fresh RM3 plates and placed in the light chamber at 26° C. Plantlets approximately 2-3 cm are removed and transfer to RM4 media tubs. After 1-2 weeks plants from RM4 are potted to a maximum of two plantlets per pot. The pots are then placed in the Conviron growth chamber (photolight=20 hours, humidity=65%, temperature=24° C.) and watered with Roots2 solution. Plants (˜20 cm tall) are tested for expression of the bar gene by performing a 2% basta swipe test.
    • Example 11 Analysis of Fatty Acid Content and Composition by Gas Chromatography (GC)
    • [0285]
      Fatty acid (FA) determination was done from a total of 300-400 mg of tissue lyophilized for 24 hours. The tissue was then ground using a FastPrep mill (Bio101) at 4.5 speed and 20 seconds in the presence of 0.5 ml of 2.5% Sulfuric Acid+97.5% Methanol and Heptadecanoic acid (17:0, stock 10 mg/ml in Tuloene) as an external standard. Thereafter, another 0.5 ml 2.5% Sulfuric Acid+97.5% Methanol was used to wash each tube and incubate in 95° C. for 1 hour for transesterification. The tubes were removed from the water bath and allowed to cool down to RT. FAs were extracted in one volume of heptane:H2O (1:1) and cleared by centrifugation. The supernatant (50 ul) containing the fatty acid methyl esters were loaded into a Hewlett Packard 6890 gas chromatograph fitted with a 30 m×0.32 mm Omegawax column and the separated peaks were analyzed and characterized.
    • Example 12 Lec 1 Over-Expression Leads to Altered Fatty Acid Accumulation in Maize Somatic Embryos
    • [0286]
      The ubiquitin promoter (Christensen et al (1992) Plant Mol Biol 18:675-89) was used to drive Hap3/Lec1 expression (outlined in Example 8) in maize embryogenic callus to test what phenotype would arise from over-expression of Lec1 in somatic embryos. Transformation of the construct into maize embryogenic callus and generation of somatic embryos is outlined in Example 10.
    • [0287]
      More than ten different events were analysed by GC for fatty acid content/composition and compared to controls transformed with the selectable marker (BAR gene) plasmid alone. A pool of three embryos each from XX different events showed that the somatic embryos overexpressing Lec1 contain elevated fatty acid content (average 119% increase over control) with no significant alteration in fatty acid composition when compared to the control somatic embryos.
    • Example 13 Nuclear Magnetic Resonance (NMR) ANALYSIS
    • [0288]
      Seed are imbibed in distilled water for 12-24 hours at 4° C. The embryo is dissected away and stored in a 48 well plate. The samples are lyophilized over-night in a Virtis 24×48 lyophilizer. The NMR (Process Control Technologies —PCT (Ft. Collins, Colo.) is set up as per the manufacturer's instructions. The NMR is calibrated using a series of 5 mm NMR tubes containing precisely measured amounts of corn oil (Mazola). The calibration standards are 3, 6, 9, 12, 15, 18, 21, 27, 33, and 40 mg of oil.
    • Example 14 Lec 1 Over-Expression Leads to Altered Oil Accumulation in Maize Kernels
    • [0289]
      The Hap3/Lec1 expression construct with the oleosin promoter (outlined in Example 8) was introduced into maize to test what phenotype would arise from seed specific over-expression. Transformation of the construct into maize was accomplished using Agrobacterium tumefaciens as follows.
    • [0290]
      Freshly isolated immature embryos of maize, about 10 days after pollination (DAP), are incubated with the Agrobacterium. The preferred genotype for transformation is the highly transformable genotype Hi-II (Armstrong, C. L., 1991, Development and Availability of Germplasm with High Type II Culture Formation Response, Maize Genetics Cooperation Newsletter, 65:92-93). An F1 hybrid created by crossing with an Hi-II with an elite inbred may also be used. After Agrobacterium treatment of immature embryos, the embryos are cultured on medium containing toxic levels of herbicide. Only those cells which receive the herbicide-resistance gene, and the linked gene(s), grow on selective medium. Transgenic events so selected are propagated and regenerated to whole plants, produce seed, and transmit transgenes to progeny.
    • [0291]
      The engineered Agrobacterium tumefaciens LBA4404 is constructed as per U.S. Pat. No. 5,591,616 to contain the linked gene(s) and the selectable marker gene. Typically either BAR (D'Halluin et al (1992) Methods Enzymol. 216:415-426) or PAT (Wohlleben et al (1988) Gene 70:25-37) may be used.
    • [0292]
      To use the engineered vector in plant transformation, a master plate of single bacterial colonies is first prepared by inoculating the bacteria on minimal AB medium and then incubating the bacteria plate inverted at 28° C. in darkness for about 3 days. A working plate is then prepared by selecting a single colony from the plate of minimal A medium and streaking it across a plate of YP medium. The YP-medium bacterial plate is then incubated inverted at 28° C. in darkness for 1-2 days.
    • [0293]
      Agrobacterium for plant transfection and co-cultivation is prepared 1 day prior to transformation. Into 30 ml of minimal A medium in a flask is placed 50 μg/ml spectinomycin (or appropriate bacterial antibiotic depending on marker in co-integrate), 100 μM acetosyringone, and about a ⅛ loopful of Agrobacterium from a 1 to 2-day-old working plate. The Agrobacterium is then grown at 28° C. at 200 rpm in darkness overnight (about 14 hours). In mid-log phase, the Agrobacterium is harvested and resuspended at 3 to 5×108 CFU/ml in 561 Q medium+100 μM acetosyringone using standard microbial techniques and standard curves.
    • Immature Embryo Preparation
    • [0294]
      Nine to ten days after controlled pollination of a corn plant, developing immature embryos are opaque and 1-1.5 mm long and are the appropriate size for Agro-infection. The husked ears are sterilized in 50% commercial bleach and 1 drop Tween for 30 minutes, and then rinsed twice with sterile water. The immature embryos are aseptically removed from the caryopsis and placed into 2 ml of sterile holding solution comprising of 561 Q+100 μM acetosyringone.
    • Agrobacterium Infection and Co-cultivation of Embryos
    • [0295]
      Holding solution is decanted from excised immature embryos and replaced with prepared Agrobacterium. Following gentle mixing and incubation for about 5 minutes, the Agrobacterium is decanted from the immature embryos. Immature embryos are then moved to a plate of 562P medium, scutellum surface upwards, and incubated at 20° C. for 3 days in darkness followed by incubation at 28° C. for 3 days in darkness on medium 562P+100 mg/ml carbenecillin (see U.S. Pat. No. 5,981,840).
    • Selection of Transgenic Events
    • [0296]
      Following incubation, the immature embryos are transferred to 563 O medium for selection of events. The transforming DNA possesses a herbicide-resistance gene, in this example the PAT gene, which confers resistance to bialaphos. At 10- to 14-day intervals, embryos are transferred to 563 O medium. Actively growing putative transgenic embryogenic tissue is visible in 6-8 weeks.
    • Regeneration of T0 Plants
    • [0297]
      Transgenic embryogenic tissue is transferred to 288 W medium and incubated at 28° C. in darkness until somatic embryos matured, or about 10 to 18 days. Individual matured somatic embryos with well-defined scutellum and coleoptile are transferred to 272 embryo germination medium and incubated at 28° C. in the light. After shoots and roots emerge, individual plants are potted in soil and hardened-off using typical horticultural methods.
    • Confirmation of Transformation
    • [0298]
      Putative transgenic events are subjected to analysis to confirm their transgenic nature. Events are tested for the presence of Lec1 by PCR amplification. Additionally, T0 plants are painted with bialaphos herbicide. The subsequent lack of a herbicide-injury lesion indicates the presence and action of the herbicide resistance gene. The plants are monitored and scored for altered Lec1 expression and/or phenotype such as increased organic sulfur compounds.
    • Media Recipes
    • [0299]
      Medium 561 Q contains the following ingredients: 950.000 ml of D-I Water, Filtered; 4.000 g of Chu (N6) Basal Salts (Sigma C-1416); 1.000 ml of Eriksson's Vitamin Mix (1000× Sigma-1511); 1.250 ml of Thiamine.HCL.4 mg/ml; 3.000 ml of 2, 4-D 0.5 mg/ml (No. 2A); 0.690 g of L-proline; 68.500 g of Sucrose; and 36.000 g of Glucose. Directions are: dissolve ingredients in polished deionized water in sequence; adjust pH to 5.2 w/KOH; Q.S. to volume with polished deionized water after adjusting pH; and filter sterilize (do not autoclave).
    • [0300]
      Medium 562 P contains the following ingredients: 950.000 ml of D-1 Water, Filtered; 4.000 g of Chu (N6) Basal Salts (Sigma C-1416); 1.000 ml of Eriksson's Vitamin Mix (1000× Sigma-1511); 1.250 ml of Thiamine.HCL.4 mg/ml; 4.000 ml of 2, 4-D 0.5 mg/ml; 0.690 g of L-proline; 30.000 g of Sucrose; 3.000 g of Gelrite, which is added after Q.S. to volume; 0.425 ml of Silver Nitrate 2 mg/ml #; and 1.000 ml of Aceto Syringone 100 mM #. Directions are: dissolve ingredients in polished deionized water in sequence; adjust pH to 5.8 w/KOH; Q.S. to volume with polished deionized water after adjusting pH; and sterilize and cool to 60° C. Ingredients designated with a # are added after sterilizing and cooling to temperature.
    • [0301]
      Medium 563 O contains the following ingredients: 950.000 ml of D-I Water, Filtered; 4.000 g of Chu (N6) Basal Salts (Sigma C-1416); 1.000 ml of Eriksson's Vitamin Mix (1000× Sigma-1511); 1.250 ml of Thiamine.HCL.4 mg/ml; 30.000 g of Sucrose; 3.000 ml of 2,4-D 0.5 mg/ml (No. 2A); 0.690 g of L-proline; 0.500 g of Mes Buffer; 8.000 g of Agar (Sigma A-7049, Purified), which is added after Q.S. to volume; 0.425 ml of Silver Nitrate 2 mg/ml #; 3.000 ml of Bialaphos 1 mg/ml #; and 2.000 ml of Agribio Carbenicillin 50 mg/ml #. Directions are: dissolve ingredients in polished deionized water in sequence; adjust to pH 5.8 w/koh; Q.S. to volume with polished deionized water after adjusting pH; sterilize and cool to 60° C. Ingredients designated with a # are added after sterilizing and cooling to temperature.
    • [0302]
      Medium 288 W contains the following ingredients: 950.000 ml of D-I H20; 4.300 g of MS Salts; 0.100 g of Myo-Inositol; 5.000 ml of MS Vitamins Stock Solution (No. 36J); 1.000 ml of Zeatin.5 mg/ml; 60.000 g of Sucrose; 8.000 g of Agar (Sigma A-7049, Purified), which is added after Q.S. to volume; 2.000 ml of IAA 0.5 mg/ml #; 1.000 ml of 0.1 Mm ABA #; 3.000 ml of Bialaphos 1 mg/ml #; and 2.000 ml of Agribio Carbenicillin 50 mg/ml #. Directions are: dissolve ingredients in polished deionized water in sequence; adjust to pH 5.6; Q.S. to volume with polished deionized water after adjusting pH; sterilize and cool to 60° C. Add 3.5 g/L of Gelrite for cell biology. Ingredients designated with a # are added after sterilizing and cooling to temperature.
    • [0303]
      Medium 272 contains the following ingredients: 950.000 ml of deionized water; 4.300 g of MS Salts; 0.100 g of Myo-Inositol; 5.000 of MS Vitamins Stock Solution; 40.000 g of Sucrose; and 1.500 g of Gelrite, which is added after Q.S. to volume. Directions are: dissolve ingredients in polished deionized water in sequence; adjust to pH 5.6; Q.S. to volume with polished deionized water after adjusting pH; and sterilize and cool to 60° C.
    • [0304]
      Medium minimal A contains the following ingredients: 950.000 ml of deionized water; 10.500 g of potassium phosphate dibasic K2HPO4; 4.500 g of potassium phosphate monobasic KH2PO4; 1.000 g of ammonium sulfate; 0.500 g of sodium citrate dihydrate; 10.000 ml of sucrose 20% solution #; and 1.000 ml of 1M magnesium sulfate #. Directions are: dissolve ingredients in polished deionized water in sequence; Q.S. to volume with deionized water; sterilize and cool to 60° C. Ingredients designated with a # are added after sterilizing and cooling to temperature.
    • [0305]
      Medium minimal AB contains the following ingredients: 850.000 ml of deionized water; 50.000 ml of stock solution 800A; 9 g of Phytagar which is added after Q.S. to volume; 50.000 ml of stock solution 800B #; 5.000 g of glucose #; and 2.000 ml of spectinomycin 50/mg/ml stock #. Directions are: dissolve ingredients in polished deionized water in sequence; Q.S. to volume with polished deionized water less 100 ml per liter; sterilize and cool to 60° C. Ingredients designated with a # are added after sterilizing and cooling to temperature. Stock solution 800A contains the following ingredients: 950.000 ml of deionized water; 60.000 g of potassium phosphate dibasic K2HPO4; and 20.000 g of sodium phos. monobasic, hydrous. Directions are: dissolve ingredients in polished deionized water in sequence; adjust pH to 7.0 with potassium hydroxide; Q.S. to volume with polished deionized water after adjusting pH; and sterilize and cool to 60° C. Stock solution 800B contains the following ingredients: 950.000 ml of deionized water; 20.000 g of ammonium chloride; 6.000 g of magnesium sulfate 7-H2O, MgSO4, 7H2O; 3.000 g of potassium chloride; 0.200 g of calcium chloride (anhydrate); and 0.050 g of ferrous sulfate 7-hydrate. Directions are: dissolve ingredients in polished deionized water in sequence; Q.S. to volume with polished deionized water; and sterilize and cool to 60° C.
    • [0306]
      Medium minimal YP contains the following ingredients: 950.000 ml of deionized water; 5.000 g of yeast extract (Difco); 10.000 g of peptone (Difco); 5.000 g of sodium chloride; 15.000 g of bacto-agar, which is added after Q.S. to volume; and 1.000 ml of spectinomycin 50 mg/ml stock #. Directions are: dissolve ingredients in polished deionized water in sequence; adjust pH to 6.8 with potassium hydroxide; Q.S. to volume with polished deionized water after adjusting pH; sterilize and cool to 60° C. Ingredients designated with a # are added after sterilizing and cooling to temperature.
    • [0307]
      More than twenty events producing segregating T1 seed were analyzed by NMR for embryo oil content (see Example 13). Six to twelve embryos analyzed for each of five different events showed that some embryos within each event contained elevated oil content. The same embryos from these five events were analyzed by PCR to determine the presence or absence of the Lec1 construct. Embryos with high oil are always found to contain the Lec1 construct, whereas embryos with normal levels of oil were typically found not to contain the Lec1 construct. These data demonstrate the presence of the Lec1 gene does lead to increased oil in the embryo. It is believed that embryos containing sharply higher levels of oil were homozygous for the Lec1 construct, as these events were segregating 1:2:1. For these events, the oil concentration in the embryos containing the Lec1 construct greatly surpassed any increase previously achieved through enzymatic modification of the fatty acid biosynthetic pathway, with some embryos containing an average increase of 56% in embryo oil content. Plants derived from seed that contained high oil exhibit some phenotypic changes in growth and development. There is an accumulation of additional leaves during early growth and development phase, and strong leaf curling throughout plant growth and development.
    • Example 15 Additional Promoters Coupled to Lec1 Also Result in Altered Maize Kernel Oil Accumulation
    • [0308]
      Other types of seed-specific promoters, the lipid transfer protein promoter and the gamma zein promoter, were also tested for their ability to alter oil accumulation in maize kernels when expressing Lec1. Transformation and analysis of these constructs was essentially the same as protocols outlined in Example 14. More than twenty events producing segregating T1 seed are analyzed by NMR for embryo oil content (see Example 13). Six to twelve embryos were analyzed for each event. Events containing embryos with high oil content were analyzed further. The same embryos from these events are analyzed by PCR to determine the presence or absence of the Lec1 construct. As with the oleosin promoter containing construct, all embryos with high oil contents are found to contain the Lec1 construct, whereas embryos with lower or normal oil contents are typically found not to contain the Lec1 construct. Like the events containing Lec1 and the oleosin promoter, the oil concentration in the embryo for these events also greatly surpass any increase previously achieved through enzymatic modification, with some embryos containing an average increase of more than 50% in embryo oil content.
    • [0309]
      Surprisingly, plants derived from seed containing high oil using this construct do not show the abnormal phenotype found for plants expressing Lec1 under the control of the oleosin promoter. It is believed that these data demonstrate that high oil can be achieved in the embryo without negative agronomic effects when the appropriate expression is employed.
    Patent Citations
    Cited PatentFiling datePublication dateApplicantTitle
    US5004863 *Dec 3, 1986Oct 17, 2000AgracetusGenetic engineering of cotton plants and lines
    US5159135 *Aug 30, 1990Oct 27, 1992AgracetusGenetic engineering of cotton plants and lines
    US5416011 *Nov 23, 1993May 16, 1995Monsanto CompanyMethod for soybean transformation and regeneration
    US5463174 *Sep 11, 1992Oct 31, 1995Calgene Inc.Transformation and foreign gene expression in Brassica species
    US5518908 *Jun 28, 1993May 21, 1996Monsanto CompanyMethod of controlling insects
    US5569834 *Feb 14, 1995Oct 29, 1996Monsanto CompanyMethod for soybean transformation and regeneration
    US5631152 *Oct 26, 1994May 20, 1997Monsanto CompanyRapid and efficient regeneration of transgenic plants
    Classifications
    U.S. Classification800/281, 800/320.1, 800/306, 800/298, 800/320.3, 800/322, 800/320.2, 536/23.6, 800/312
    International ClassificationC07K14/415, A01H5/00, C07H21/04, C12N15/82
    Cooperative ClassificationC07K14/415, C12N15/8247
    European ClassificationC12N15/82C4B4, C07K14/415