| Publication number | US3881924 A |
| Publication type | Grant |
| Publication date | May 6, 1975 |
| Filing date | Aug 23, 1972 |
| Priority date | Aug 25, 1971 |
| Also published as | CA990722A, CA990722A1, DE2239877A1, DE2239877B2 |
| Publication number | US 3881924 A, US 3881924A, US-A-3881924, US3881924 A, US3881924A |
| Inventors | Kazuhisa Morimoto, Yoshinobu Murakami |
| Original Assignee | Matsushita Electric Ind Co Ltd |
| Export Citation | BiBTeX, EndNote, RefMan |
| Patent Citations (6), Referenced by (146), Classifications (22) | |
| External Links: USPTO, USPTO Assignment, Espacenet | |
United States Patent 1191 Murakami et al.
1451 May 6,1975
[751 Inventors: Yoshinobu Murakami, Kalano;
Kazuhisa Morimnto. Settsu. both of Osaka. Japan [73] Assignee: Malsushita Electric Industrial Co.,
Ltd.
122] Filed: Aug. 23, 1972 I21 I Appl. No.: 282,970 [301 Foreign Application Priority Data Aug. 25. 1971 Japan 46-653l8 ()et. 4, 1971 Japan 46-78075 I52] U.S. Cl 96/l.6; 96/15 C; 260/240 R [51 Int. Cl G031: 5/06 158] Field of Search 96/16, 1.5, 1.7; 252/501 I56] References Cited UNITED STATES PATENTS 3,526,502 9/1970 Murakami el al. 96/16 X 3.567.438 3/1971 Hrooker et al..... 96/16 3,536,500 6/1971 Contais el al 9611.6 3,617,268 11/1971 Murakami et a1. 96/l.6 X 3,679,406 7/1972 Kryman 96/I.6 3.712311 1/1973 Murakami et a1. 96/1 .6
FOREIGN PATENTS OR APPLICATIONS 4420196 8/1969 Japan 96/16 45-4159 2/1970 Japan 96/16 lOO TRANSMITTANCE tn O 10-6-70, published in 889 0.6. 1367 on 8-31-71. Def. Pub. No. T889,023.
Petropoulos, C. C. et al., Def. Pub. of S.N. 194,487 filed ll-17l, published in 900 00.1234 on 7-2- 5-72, Def. Pub. No. T900031.
Reynolds. G. A. et .11., Def. Pub. of S.N. 235,845 filed 3-17-72, published in 904 0.0. 277 on 11-21-72. Del. Pub. No. T904277.
Primary lixaminerNorman (i. Torchin Assistant ExaminerJohn R. Miller Attorney. Agent, or I-irmWenderoth. Lind 8L Ponack I 57 I ABSTRACT The present invention relates to organic photocondue tive layers responsive to long wavelengths comprising a combination of an organic photoconductor and a sensitizer having the following chemical formula.
12 T CH=CH"CH Y R R1 3 R3 R2 I R1 wherein R is hydrogen or phenyl;
R is hydrogen. phenyl. 4-methoxyphenyl, naphthyl, 2-methoxynaphthyl l or 4-mcthoxynaphthyl l R is hydrogen, methoxy, nitro or phenyl;
R is hydrogen or mcthoxy;
X is oxygen or sulfur atom;
and Y is perchlorate.
5 Claims, 9 Drawing Figures WAVE LENGTH (m u) PATENIEDMM 61975 SHEET 10? 3 WAVE LENGTH {m u) 600 700 WAVE LENGTH (Fm LL) FIG.2
5 6 m w w 3;; kzmmmnuokoxu 700 800 WAVE LENGTH (m u) FIGS PATENIEDIMY' B1915 TRANSMITTANCE /0) TRANSMITTANCE SHEEI 2 0F 3 400 500 600 700 800 900 WAVELENGTH {an u) F l G 3 WAVELENGTH (rm u) FATENIEUMM $19. 5
FIGS
FIG]
FIGB
SHEET 3 BF 3 WAVE LENGTH (m u) WAVE LENGTH (m u) WAVELENGTH (m u) WAVE LENGTH (m u) ORGANIC PI-IOTOCONDUCTIVE LAYER SENSITIZED WITH TRIMETHINE COMPOUND This invention relates to photoconductive layers and more particularly to photoconductive polymer layers containing as a novel sensitizer. a trimethine compound.
Many kinds of organic photoconductive polymer layers are well known in the electrophotographic art for making copies of documents. drawings. transparencies. etc. It is necessary for the electrophotographic art that the photoconductive layer has a high photoconductivity in the long wavelength region of the visible spectrum or the near infra-red wavelength region. Such a photoconductive layer makes it possible for the electrophotographic art to employ an inexpensive and convenient light source such as a tungsten filament lamp in a reduced exposure time.
Interest in organic photoconductor cells has increased in the field of electronics, computers. high speed data recording and detecting systems. The applications mentioned above require a highly sensitive and transparent organic photoconductor preferably an organic photoconductive film-forming polymer.
The well-known organic photoconductive polymers are poly-N-vinylcarbazole, halogenated poly-N- vinylcarbazole, polyacenaphthylene. polyvinylanthracene. etc. The layers containing these photoconductive polymers are non-conductors of electricity before exposure and become electrical conductors upon exposure. It is known that an addition of a so-called sensitizer can improve photoconductivity and spectrum characteristics of the above photoconductive polymer. Conventional sensitizers are dyestuff compounds. such as xanthene dyes, triazine dyes or acridine dyes, but the conventional sensitizers are not entirely satisfactory for improving the photoconductivity and the spectrum characteristics of the photoconductive polymer.
An object of the invention is to provide an organic photoconductive layer having a high photoconductivity.
Another object of the invention is to provide an organic photoconductive layer having sensitivity to the long wavelength region of the visible spectrum or to the near-infrared wavelength region.
Another object of the invention is to provide a preparation method of particularly effective new class sensitizers of organic photoconductor. said sensitizers having a trimethine structure containing a certain substituted benzopyrylium or benzothiapyrylium salt.
Another object of the invention is to provide a transparent photoconductive layer.
Still other objects will be apparent from the following specification and claims.
These and other objects are accomplished by the use of photoconductive film-forming compositions comprising a photoconductive polymer and a novel trimethine compound.
The invention is further explained in the following description with reference to the accompanying drawings.
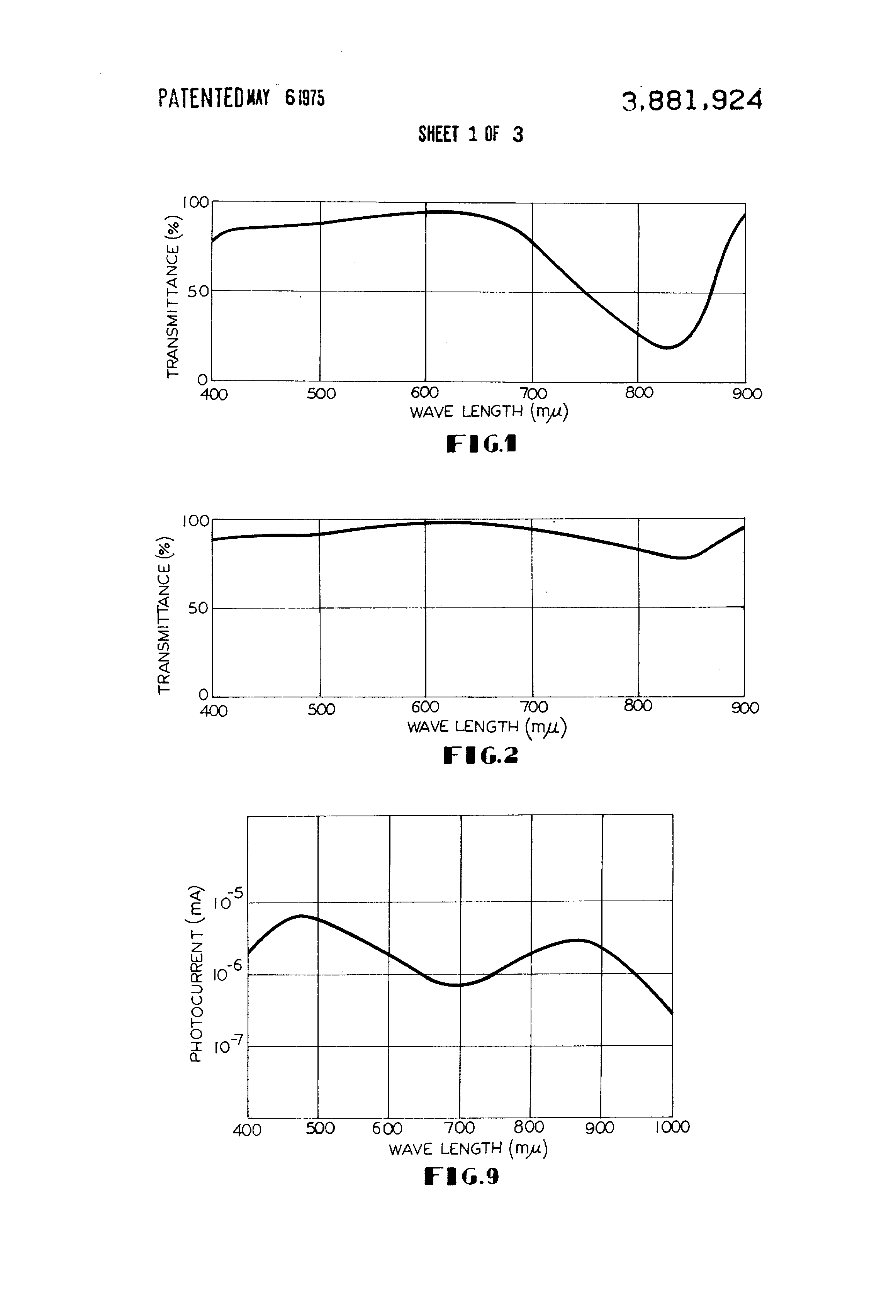
FIG. I represents the absorption spectrum of 2-[3'- (3 -phenyl-4"-p methoxyphenyl-2"- benzothiapyranylidene) propenyl l-3-phen yl-4-pmethoxyphenylbenzothiapyrylium perchlorate in dichloroethanesolution.
FIG. 2 represents the absorption spectrum of poly-N- vinylcarbazole film (l microns in thickness) contain- 2 ing 0.2 mole percent of 2- [3'(3"-phenyl-4"-pmethoxyphenyl-Z "-benzothiapyranylidene) propenyl 3-phenyl-4-p-methoxyphenyl-benzothiapyrylium perchlorate.
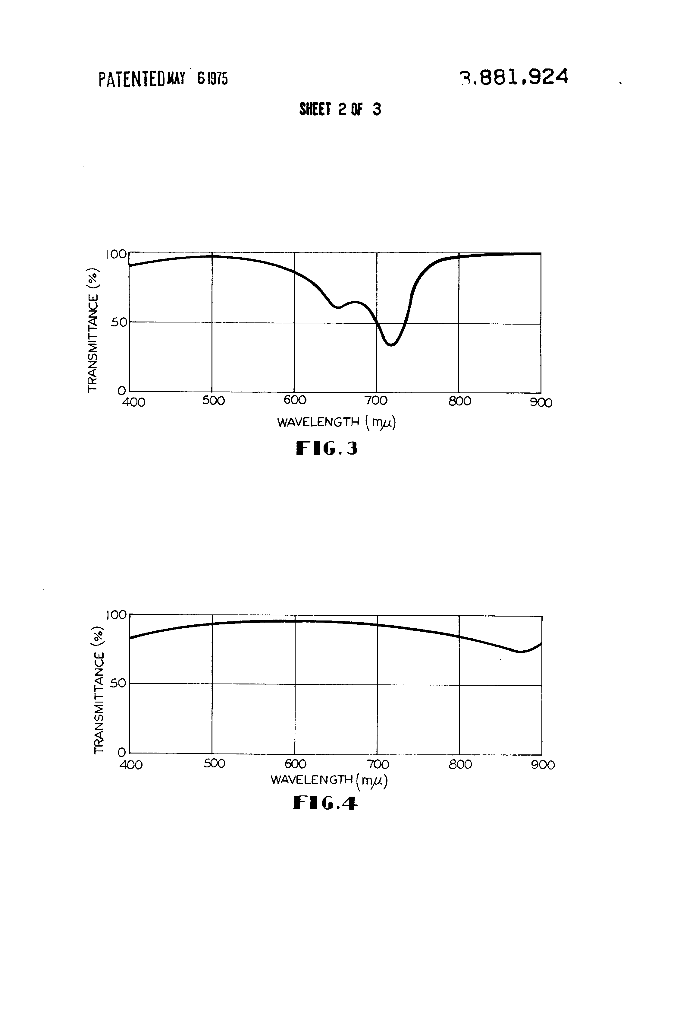
FIG. 3 represents the absorption spectrum of poly-N- vinylcarbazole film l0 microns in thickness) containing 0.2 mole percent of 2-[3'-(3"-phenyl-2"- benzopyranylidene) propenyl]-3-phenylbenzopyrylium perchlorate.
FIG. 4 represents the absorption spectrum of poly-N- vinylcarbazole film (10 microns in thickness) containing 0.2 mole percent of 2-[3'- 3", 6"-diphenyl-4"- (4"'-methoxynaphthyl( l "'))-2"-benzothiapyranylidene propenyl] 3. 6-diphenyl-4-(4'- methoxynaphthyl l ')benzothiapyrylium perchlorate.
FIG. 5 represents the wedge spectrogram for an electrophotographic material coated with a solution containing l0 weight percent of brominated poly-N- vinylcarbazole sensitized with 0.04 weight percent of 2-[ 3 3 '-phenyl-4"-p-methoxyphenyl'2 benzothiapyranylidene) propenyl ]-3-phenyl-4-pmethoxyphenylbenzothiapyrylium perchlorate. the brominated poly-N-vinylcarbazole being dissolved in a mixed solvent of four weight parts of chlorobenzene and one weight part of dichloroethane.
FIG. 6 represents the wedge spectrogram for an electrophotographic material coated with a solution containing l0 weight percent of brominated poly-N- vinylcarbazole sensitized with 0.04 weight percent of 2-[3-(3", 6"-diphenyl-2"-benzopyranylidenel propenyll-3. o-diphenylbenzopyrylium perchlorate. the brominated poly-N-vinylcarbazole being dissolved in a mixed solvent of four weight parts of chlorobenzene and one weight part of dichloroethane. FIG. 7 represents the wedge spectrogram for an electrophotographic material coated with a solution containing 10 weight percent of brominated poly-N-vinylcarbazole sensitized with 0.04 weight percent of 2-[3'- 3". 6"- diphenyl-4"-(4' "-methoxynaphthyl 1 2 '-benzothiapyranylidene propenyl1-3, 6-diphenyl-4-t 4 methoxynaphthyk 1 'l) benzothiapyrylium perchlorate. the brominated poly-N-vinylcarbazole being dissolved in a mixed solvent of four weight parts of chloroben' zene and one weight part of dichloroethane.
FIG. 8 represents the wedge spectrogram for an electrophotographic material coated with a solution containing l0 weight percent of brominated poly-N- vinylcarbazole sensitized with 0.04 weight percent of 2-[3'-(3"-pltenyl-Z"-benzopyranylidene) propenyll-3- phenylbenzopyrylium perchlorate. the brominated poly-N-vinylcarbazole being dissolved in a mixed solvent of four weight parts of chlorobenzene and one weight part of dichloroethane.
FIG. 9 represents the spectral response of the photocurrent of the photoconductor cell (sandwich type cell) which is fabricated in the following; a transparent NESA conducting glass. a photoconductive polymer layer consisting of 0.2 mole percent of 2-[3'-(3"- phenyl-4"-p-methoxyphenyl-2"- benzothiapyranylidene )propenyl l-3-phenyl-4-pmethoxyphenylbenzothiapyrylium perchlorate in poly- N-vinylcarbazole of IO microns in thickness and a vacuum evaporated aluminum electrode of 0.3 cm area. The applied electric voltage to said sandwich cell is DC 20 volts and the xenon lamp is used as a light source.
The new sensitizer according to the present invention has the following chemical formula:
R, R woecwwm R; R1 R; R,
wherein In R is hydrogen or phenyl; R is hydrogen, phenyl or 4-methoxyphenyl. naph- Table l -Continued Com- Name of Com mnd thyl. 2 -methoxynaphthyl( l or 4 pound methoxynaphthyl( l l5 R ts hydrogen, methoxy, mtro r phenyl. henmpyryhum perchlorate R is hydrogen or methoxy; j. 2-methyl-ib-diphengl-4- 4'-methoxynaphth \l( '1 henvopyry ium perc lorate X -f g or b ulfur k. Z-methyl-4- 2'-methoxynaphthyl( I) benzopyrylium and Y is an anion radical such as perchlorate. perchlorate The compounds having the chemical formula above 70 g' 'gi mts gfi lfgtg i ga y p y mentioned are called trimethine compounds. m. g-methylill fi-diphenly':-4- 2'-methoxynaphthyl( l '1 The trim hine corn nds are r d f)|- Elllopyryrum perc urute luwing chezricul equagg: Prepd e by the n. 2-methyl-4-p-methoxyphenylhenzothiapyrylium perchlorate X at; 1%),
R, R1 R1 wherein o. l-meglhyl-3-phenyl-4-p-methoxyphenylhemothiapyrylium perc orate hydrogen Ur phenyl p. 2-methyl'3.fi-dipheny|-4-p-methoxyphenylbenzo- R hydrogen. phenyl. 4-methoxyphenyl. naphthyl. thiapyrylium perchlorate 7 q. 2-methyl-4- 4'-methoxynaphthyl( I benzothiapyrylium methoxynaphthyl( l or 4 methoxynaphthylt l 4s perchmme R ls hydrogen. methoxy. nttro or phenyl; r. imethfi'l-B-phfnflA- 4'i1rlnethoxynaphthylll'l enzot iapyrylum perc orate hydroge F s. 2-methyl-3.6-diphenyl-4- 4-methoxynaphth \l( 1 '1 15 oxygen or UT 31 henzothiapyrylium perchlorate and Y is an anion radical such as perchlorate. F P heflwlhiuvyrilium I It 2 th lb perchlorate Thus. Z-methylbenzopyry tum 5.1 or me y enzou zummuxynupmhyu thiapyrylium salt is allowed to react with alkyl orthoforgenmhhiuwpygyg ufi peirahlorate h h h I I a o v. met y-.. lp eny- ..-met oxynap t y( mate In acetic anhydrrde at 40 to I30 C, preferably at henmhiupyrylium pemhlmme 80 to l [0C. w. g-methylhenmpyrylium chloroferrute Representative examples of Z-methylbenzopyrylium "mmlmhdmhenl'henmpmmm salts and 2-methylbenzothiapyrylium salts are listed in Table Table 2 lists additional information on the absorption Table l maximum in dichloroethane and melting point of said salts listed in Table l.
Com- Name of Compound Table 2 pound a. Z-methyl-S-phenylhenzopyrylium perchlorate Compound Melting Point Absorption Maximum h. 2-methyl3-phcnyl-8-methoxybenzopyrylium perchlorate tCl in dichloroetharte (mptl cv 'l-methyl-J-phenyl-6-methoxyhenzopyryIium perchlorate d. Z-methyl-K-phenyl-b-nitrohenzopyrylium perchlorate u. 177 I79 585 e. Z-methyl-d-p-methoxyphenylhenzopyrylium perchlorate h. 219 22!) Still r. 2-methyl-3-phenylJ-p-methoxyphenylhen/opyrylium c. 206 21m 375 perchlorate d. I34 I27 580 2 methyl-3.6-diphenyl-4-methoxyphenylhenzopyrylium e. 129 l30 442 perchlorate 2-methyl-4- 4'-methoxynaphth vlt I) benzopyrylium g- 211 7 475 h. Zlll-2ll 529 perchlorate Iv lKl lX-l- 5H iv 2-methyl-3-phenyl-4- 4-methoxynuphthyll l l Table 4 Continued The following description will explain a practical method for making the trimethine compounds with reference to exemplary compounds. The details of the preparation of other compounds will be apparent to those skilled in the art from the preceding disclosure and the following illustrative examples of preparative methods for various compounds according to the invention:
l. 2-[3-(3"-phenyl-2"- benzopyranylidene)propenyll-3-phenylbenzopyrylium perchlorate (compound No. l l6 Grams of Z-methyl- 3-phenylbenzopyrylium perchlorate is dissolved in 200 milliliters of acetic anhydride to a solution. After adding 19 grams of ethyl orthoformate. the solution is stirred for 15 minutes at 100C. After cooling to room temperature, the solution is slowly poured into 2 liters of 10 percent perchloric acid to obtain a precipitate. The precipitate is filtered off. dried. washed with 300 milliliters of acetonitrile and dried again to obtain 7 grams of lustrous crystals having a melting point of 253 to 255C.
2. 2-[3'-(3"-phenyl-4"-p-methoxyphenyl-2"- benzothiapyranylidene)propenylI-3-phenyl-4-pmethoxyphenyl-benzothiapyrylium perchlorate (compound No. l5)
4.4 Grams of Z-methyl-3-phenyl-4-p-methoxyphenylbenzothiapyrylium perchlorate (melting point 212 to 213C) which is obtained by the Grignard reaction of 2-methyl-3-phenylbenzothiachromone and p methoxyphenyl magnesium bromide. are dissolved in 80 milliliters of acetic anhydride to obtain a solution. After adding 3.8 grams of ethyl orthoformate. the solution is stirred for minutes at 100C. After cooling to the room temperature. the solution is slowly poured into 400 milliliters of 10 percent perchloric acid to obtain a precipitate. The precipitate is filtered off. dried and reprecipitated with dichloroethane-ethyl ether to obtain 6 grams of fine crystals having a melting point of 176 to 179C.
it has been discovered according to the invention the compounds listed in Table 3 are sensitizers which can improve the photoconductivity and the spectrum characteristics of photoconductive polymers such as poly- N-vinylcarbazole. brominated poly-N-vinylcarbazole. polyacenaphthylene. etc. These polymers. except brominated poly-N-vinylcarbazole. are prepared by a per se well known method. The brominated poly-N- vinylcarbazole can be prepared by the following method: To the solution of grams of poly-N- vinylcarbazole in 450 milliliters of chlorobenzene. there are added 18.44 grams of N-bromosuccinimide and 0.173 gram of benzoyl peroxide. The mixture is 6 heated at C for 2 hours while being stirred thoroughly and is poured into methanol to obtain a white polymer. The polymer is dissolved in chlorobenzene and again poured into methanol for purification. The pure polymer thus obtained as a precipitate exhibits upon elementary analysis a halogen content of 29.87 weight percent which approximates the value calculated. i.e. 39.44 weight percent ofthe monobromo substituted product from poly-N-vinylcarbazole. This indicates that the polymer obtained is a monobromo substituted product. The degree of bromination varies from 50 mole percent to 200 mole percent according to reaction conditions.
The novel sensitizer comprising at least one compound from the group listed in Table 3 is dissolved in a suitable solvent. such as dichloroethane. methylene chloride. chloroform. or a combination thereof. and is added to the solution of the photoconductive polymer described above. The preferable amount of the sensitizer added is from 0.01 to 5.0 weight parts in connection with I00 weight parts of the photoconductive polymer. Advantageously. the amount thereof is from 0.1 to 2.0 weight parts in connection with weight parts of the photoconductive polymer.
For the preparation of the photoconductive layer. a said solution of the photoconductive polymer and the sensitizer in a suitable solvent is applied to the suitable support such as the electroconductive support in per se usual manner. for example. by spraying, by means of blade coating. by means of whirler coating. etc.. and then dried so as to produce a homogeneous transparent photoconductive layer on the support. Operable solvents are benzene. toluene. chlorobenzene. dioxane. methylene chloride. dichloroethane and combinations thereof. Said solution may be incorporated with suitable plasticizers and/or organic colloids for improving the flexibility and strength of the photoconductive polymer. Operable plasticizers are as follows: chlorinated diphenyl. dimethyl phthalate. diethyl phthalate and octyl phthalate. Operable organic colloids are as follows: natural and synthetic resin. phenol resin modified with rosin. polyvinyl acetal. polyvinyl butyral. polyvinyl cinnamate. polycarbonate resin. Operable materials for electroconductive supports may be made of any materials e.g. metal plate or glass plate having an electrically conductive coating. plastic plate or foil or film made of electrically conductive resin or coated with evaporated thin metal layer or covered with cuprous iodide conductive layer. The transparent support can produce a transparent photoconductive or electrophotographic plate. foil or film.
The reproduction of images by the electrophotographic method is carried out as follows: when the photoconductive layer has been charged by means of a corona discharge apparatus. the sensitized layer with the support is exposed to light under a master and is then dusted over in a per se known manner with a resin powder colored with carbon black. The image that now becomes visible can easily be wiped off. It can also be fixed by heating at about C. From positive masters. positive images characterized by good contrast are produced.
This invention is still further illustrated with references to the following illustrative examples.
EXAMPLE 1 l Gram of polyacenaphthylene and 0.6 gram of. as a plasticizer. chlorinated diphenyl (commercially available as Kanechlor). are dissolved in 8 milliliters of chlorobenzene. To the solution are added 0.5 milliliters of dichloroethane containing 0.006 gram of a sensitizer corresponding to compound number listed in Table 3. The solution is applied to an aluminum plate by means of whirler coating and is dried to form a layer of 7 microns in thickness. After said aluminum plate provided with the layer is charged negatively by means of corona discharge with a charging device maintained at approximately 6000 volts in the dark. it is placed under a positive master and exposed to a l00W tungsten lamp at an illumination of 50 lux. and the said plate is powdered over with a developer in a per se known manner. This developer consists of toner and carrier. The toner consists of low melting point polystyrene. colophony and carbon black. The toner is mixed with a carrier sub stance such that the toner becomes triboelectrically charged with a charge opposite to that produced on the plate. A positive image is produced and is fixed by slight heating. In Table 5, there are shown the sensitivity which is defined as a half-decay-exposure in luxsecond units. said half-decayexposure is the exposure to reduce a surface potential of the photoconductive layer to a half of the surface potential in the dark. The smaller half-decay-exposure represents a higher sensitivity.
l Gram of poly-N-vinylcarbazole. 0.5 gram of chlorinated diphenyl (commerically available as Kanechlor) and 0.006 gram of a sensitizer. corresponding to compound number listed in Table 3. are dissolved in I0 milliliters of dichloroethane to obtain a solution. The solution is applied to a polyester film (0.] mm in thickness) having a cuprous iodide transparent conductive layer by means of blade coating and is dried to form a layer of IO microns in thickness. An electrophotographic image is produced in the same way as that described in Example 1. In Table 6. there are shown the sensitivity as the half-decay exposure in lax-second units.
It is clear from Table 6 that the novel sensitizers improve the photoconductivity of poly-N-vinylcarbazole.
EXAMPLE 3 l Gram otbrominated poly-Nw'inylcarbazolc (monobromosubstituted product). 0.5 grams of polycarbon ate resin (commercially available as Panlite-C). 0.3 gram of chlorinated diphenyl (commercially available as Kanechlor") and 0.002 gram of sensitizer listed in Table 3 are dissolved in a mixed-solvent of 8 milliliters of chlorobenzene and 2 milliliters of dichloroethane. This solution is applied to a polyester film (0.l mm in thickness) having a cuprous iodide transparent conductive layer by means of a blade coating and dried to form a layer of l4 microns in thickness. On this support. an electrophotographic image is produced in the same way as that described in Example I. Table 7 shows the sensitivity as the half-decay exposure in lux-second units.
It is clear from Table 7 and FIGS. 5 to 8 that the novel sensitizers improve the photoconductivity and the spectrum characteristics of brominated poly-N- vinylcarbazole.
EXAMPLE 4 A dichloroethane solution containing poly-N- vinylcarbazole and a sensitizer listed in Table 3 is up plied to a glass plate having an electrically conducting layer (commercially available as NESA GLASS"and the solvent is evaporated to obtain a sensitized photoconductive layer of 10 microns in thickness of poly-N- vinylcarbazole. The concentration of the sensitizer in poly-N-vinylcarbazole is 0.2 mole percent.
HO. 2 to FIG. 4 show the illustrations of the absorption spectra of the sensitized photoconductive films.
Then. aluminum is evaporated onto the parallel face of the layer as electrode to obtain a photoconductor cell (sandwich type cell). Area of the aluminum electrode is 0.03cm The cell is illuminated by a light which has a peak at an absorption maximum of the sensitizer. The light is obtained from a xenon lamp with a saturated CuSO solution and a colored glass.
The photocurrent increases almost linearly with applied electric field up to ZXIO volt/cm. Photocurrent is proportional to the intensity of the light.
The spectral response of the photocurrent is measured in a range from 400mg. to lOOUmp. with the xenon lamp and the monochromator (Hitachi type EPU-ZA). FIG. 9 shows the illustration of the spectral response of the photoconductor cell.
The invention has been described in detail with particular reference to preferred embodiments thereof but it will he understood that variations and modifications can be effected within the spirit and scope of the invention as described hereinabove and as defined in the appended claims.
What we claim is:
1. An organic photoconductive layer comprising a combination of an organic photoconductor and a sensitizer having the following chemical formulav r CH=CWCHm R R R1 R3 3 R1 I R1 conductor and 0.01 to 5.0 weight parts of a sensitizer.
2. An electrophotographic material comprising an electrically conductive support layer and photoconductive layer. the latter comprising a combination of photoconductive polymer and a sensitizer having the chemical formula according to claim 1, said combination comprisng l00 weight parts of an organic photoconductor and 0.0l to 5.0 weight parts of a sensitizer.
3. An electrophotographic material according to claim 2, wherein said photoconductive polymer is one member from the group consisting of poly-N- vinylcarbazole brominated poly-N-vinylcarbazole and polyacenaphthylene.
4. A transparent photoconductive layer comprising a combination of a photoconductive polymer and a sensitizer having the chemical formula according to claim 1, said combination comprising I00 weight parts of an organic photo conductor and 0.01 to 5.0 weight parts of a sensitizer.
5. A transparent photoconductive layer according to claim 4, wherein said photoconductive polymer is one member from the group consisting of poly-N- vinylcarbazole and brominated poly-N-vinylcarbazole.
| Cited Patent | Filing date | Publication date | Applicant | Title |
|---|---|---|---|---|
| US3526502 * | May 4, 1967 | Sep 1, 1970 | Matsushita Electric Ind Co Ltd | Electrophotographic material |
| US3567438 * | Mar 25, 1968 | Mar 2, 1971 | Eastman Kodak Co | Organic photoconductors sensitized with pyrylium cyanine dyes |
| US3586500 * | Nov 1, 1968 | Jun 22, 1971 | Eastman Kodak Co | Electrophotographic composition and element |
| US3617268 * | Jan 20, 1970 | Nov 2, 1971 | Matsushita Electric Ind Co Ltd | Electrophotographic materials |
| US3679406 * | Nov 13, 1970 | Jul 25, 1972 | Eastman Kodak Co | Heterogeneous photoconductor composition formed by low-temperature conditioning |
| US3712811 * | Mar 5, 1971 | Jan 23, 1973 | Matsushita Electric Ind Co Ltd | Electrophotographic material |
| Citing Patent | Filing date | Publication date | Applicant | Title |
|---|---|---|---|---|
| US4173473 * | Jul 6, 1977 | Nov 6, 1979 | Eastman Kodak Company | Radiation sensitive compositions containing pyrylium compounds |
| US4327169 * | Jan 19, 1981 | Apr 27, 1982 | Eastman Kodak Company | Infrared sensitive photoconductive composition, elements and imaging method using trimethine thiopyrylium dye |
| US4387149 * | Mar 4, 1982 | Jun 7, 1983 | Mitsubishi Paper Mills, Ltd. | Electrophotographic sensitive material having a dye sensitizer containing a carbonium atom |
| US4985323 * | Sep 29, 1988 | Jan 15, 1991 | Fuji Photo Film Co., Ltd. | Electrophotographic printing plate |
| US5262549 * | Mar 29, 1993 | Nov 16, 1993 | Polaroid Corporation | Benzpyrylium dyes, and processes for their preparation and use |
| US6627380 | May 21, 2001 | Sep 30, 2003 | Dainippon Ink And Chemicals, Inc. | Photosensitive composition, original plate using the same for lithographic printing, and method for producing images on original plate |
| US6808857 | May 20, 2002 | Oct 26, 2004 | Kodak Polychrome Graphics Llc | Negative-working photosensitive composition and negative-working photosensitive lithographic printing plate |
| US20040013965 * | Mar 17, 2003 | Jan 22, 2004 | Memetea Livia T. | Sensitivity enhancement of radiation-sensitive elements |
| EP0056727A1 * | Jan 19, 1982 | Jul 28, 1982 | EASTMAN KODAK COMPANY (a New Jersey corporation) | Infrared sensitive photoconductive element |
| EP1223467A2 | Jan 14, 2002 | Jul 17, 2002 | Fuji Photo Film Co., Ltd. | Positive image-forming material |
| EP1234662A2 | Feb 25, 2002 | Aug 28, 2002 | Fuji Photo Film Co., Ltd. | Image-recording material |
| EP1275497A2 | Jun 27, 2002 | Jan 15, 2003 | Fuji Photo Film Co., Ltd. | Planographic printing plate precursor |
| EP1318027A2 | Dec 9, 2002 | Jun 11, 2003 | Fuji Photo Film Co., Ltd. | Planographic printing plate precursor |
| EP1400351A2 | Sep 18, 2003 | Mar 24, 2004 | Fuji Photo Film Co., Ltd. | Lithographic printing plate precursor |
| EP1449652A2 | Feb 20, 2004 | Aug 25, 2004 | Fuji Photo Film Co., Ltd. | Planographic printing plate precursor |
| EP1577086A2 | Mar 17, 2005 | Sep 21, 2005 | Fuji Photo Film Co. Ltd. | Lithographic printing process |
| EP1577111A1 | Mar 15, 2005 | Sep 21, 2005 | Fuji Photo Film Co., Ltd. | Positive-type photosensitive composition |
| EP1614537A1 | Jul 7, 2005 | Jan 11, 2006 | Fuji Photo Film Co., Ltd. | Lithographic printing plate precursor and lithographic printing method |
| EP1619023A2 | Jul 19, 2005 | Jan 25, 2006 | Fuji Photo Film Co., Ltd. | Image forming material |
| EP1621338A1 | Jul 26, 2005 | Feb 1, 2006 | Fuji Photo Film Co., Ltd. | Lithographic printing plate precursor and lithographic printing method |
| EP1621341A2 | Jul 29, 2005 | Feb 1, 2006 | Fuji Photo Film Co., Ltd. | Lithographic printing plate precursor and lithographic printing method |
| EP1627732A1 | Aug 16, 2005 | Feb 22, 2006 | Fuji Photo Film Co., Ltd. | Planographic printing plate precursor |
| EP1627735A2 | Aug 19, 2005 | Feb 22, 2006 | Fuji Photo Film Co., Ltd. | Planographic printing plate precursor |
| EP1629975A1 | Aug 17, 2005 | Mar 1, 2006 | Fuji Photo Film Co., Ltd. | Planographic printing plate precursor and method of making planographic printing plate |
| EP1629977A2 | Aug 31, 2005 | Mar 1, 2006 | Fuji Photo Film Co., Ltd. | Lithographic printing plate precursor and printing process |
| EP1630602A2 | Aug 23, 2005 | Mar 1, 2006 | Fuji Photo Film Co., Ltd. | Polymerizable composition, hydrophilic film formed by curing said composition and planographic printing plate precursor |
| EP1630618A2 | Aug 24, 2005 | Mar 1, 2006 | Fuji Photo Film Co., Ltd. | Production method of lithographic printing plate, lithographic printing plate precursor and lithographic printing method |
| EP1637324A2 | Aug 25, 2005 | Mar 22, 2006 | Fuji Photo Film Co., Ltd. | Color image-forming material and lithographic printing plate precursor |
| EP1640173A1 | Sep 26, 2005 | Mar 29, 2006 | Fuji Photo Film Co., Ltd. | Planographic printing plate precursor |
| EP1669195A1 | Dec 13, 2005 | Jun 14, 2006 | Fuji Photo Film Co., Ltd. | Lithographic printing method |
| EP1685957A2 | Jan 26, 2006 | Aug 2, 2006 | Fuji Photo Film Co., Ltd. | Lithographic printing plate precursor, lithographic printing method and packaged body of lithographic printing plate precursors |
| EP1690685A2 | Feb 2, 2006 | Aug 16, 2006 | Fuji Photo Film Co., Ltd. | Planographic printing plate precursor |
| EP1703323A1 | Mar 20, 2006 | Sep 20, 2006 | Fuji Photo Film Co., Ltd. | Photosensitive composition, image-recording material and image-recording method |
| EP1705002A1 | Dec 29, 2005 | Sep 27, 2006 | Fuji Photo Film Co., Ltd. | Planographic printing plate precursor and plate-making method thereof |
| EP1705004A1 | Mar 20, 2006 | Sep 27, 2006 | Fuji Photo Film Co., Ltd. | Planographic printing plate precursor |
| EP1707353A2 | Mar 29, 2006 | Oct 4, 2006 | Fuji Photo Film Co., Ltd. | Planographic printing plate precursor having an image-recording layer containing and infrared ray absorbent, a polymerization initiator, a polymerizable compound, and a thiol compound |
| EP1707397A1 | Mar 29, 2006 | Oct 4, 2006 | Fuji Photo Film Co. Ltd. | Lithographic printing plate comprising support and imaging layer |
| EP1754597A2 | Aug 17, 2006 | Feb 21, 2007 | Fuji Photo Film Co., Ltd. | Lithographic printing plate precursor and lithographic printing process |
| EP1754614A1 | Apr 8, 2005 | Feb 21, 2007 | Fuji Photo Film Co., Ltd. | Lithographic printing plate precursor and lithographic printing method |
| EP1755002A2 | Aug 17, 2006 | Feb 21, 2007 | Fuji Photo Film Co., Ltd. | Manufacturing method of lithographic printing plate and manufacturing apparatus of lithographic printing plate |
| EP1757984A1 | Aug 22, 2006 | Feb 28, 2007 | Fuji Photo Film Co., Ltd. | Photosensitive lithographic printing plate |
| EP1795344A1 | Sep 21, 2006 | Jun 13, 2007 | FUJIFILM Corporation | Lithographic printing plate precursor and lithographic printing method |
| EP1872943A2 | May 19, 2000 | Jan 2, 2008 | FUJIFILM Corporation | Photosensitive composition and planographic printing plate base using same |
| EP1925447A1 | Sep 17, 2003 | May 28, 2008 | FUJIFILM Corporation | Image forming material |
| EP1930770A2 | Dec 5, 2007 | Jun 11, 2008 | FUJIFILM Corporation | Imaging recording material and novel compound |
| EP1939244A2 | Dec 20, 2007 | Jul 2, 2008 | FUJIFILM Corporation | Laser-decomposable resin composition, and pattern-forming material and laser-engravable flexographic printing plate precursor using the same |
| EP1939687A2 | Dec 27, 2007 | Jul 2, 2008 | FUJIFILM Corporation | Polymerizable composition, lithographic printing plate precursor and lithographic printing method |
| EP1956428A2 | Feb 6, 2008 | Aug 13, 2008 | FUJIFILM Corporation | Photosensitive composition, lithographic printing plate precursor, lithographic printing method, and cyanine dyes |
| EP1964675A1 | Feb 25, 2008 | Sep 3, 2008 | FUJIFILM Corporation | Infrared laser-sensitive planographic printing plate precursor |
| EP1972440A2 | Mar 20, 2008 | Sep 24, 2008 | FUJIFILM Corporation | Negative lithographic printing plate precursor and lithographic printing method using the same |
| EP1974914A2 | Mar 27, 2008 | Oct 1, 2008 | FUJIFILM Corporation | Lithographic printing plate precursor and method of preparing lithographic printing plate |
| EP1975706A2 | Feb 21, 2008 | Oct 1, 2008 | FUJIFILM Corporation | Lithographic printing plate precursor |
| EP1975707A1 | Mar 26, 2008 | Oct 1, 2008 | Fujifilm Corporation | Curable composition and planographic printing plate precursor |
| EP1975710A2 | Mar 27, 2008 | Oct 1, 2008 | FUJIFILM Corporation | Plate-making method of lithographic printing plate precursor |
| EP1992482A2 | May 15, 2008 | Nov 19, 2008 | FUJIFILM Corporation | Planographic printing plate precursor and printing method using the same |
| EP1992989A1 | Dec 27, 2005 | Nov 19, 2008 | FUJIFILM Corporation | Lithographic printing plate precursor |
| EP2006091A2 | Jun 23, 2008 | Dec 24, 2008 | FUJIFILM Corporation | Lithographic printing plate precursor and plate making method |
| EP2006738A2 | Jun 20, 2008 | Dec 24, 2008 | Fujifilm Corporation | Lithographic printing plate precursor and lithographic printing method |
| EP2011643A2 | Jun 30, 2008 | Jan 7, 2009 | FUJIFILM Corporation | Planographic printing plate precursor and printing method using the same |
| EP2036721A1 | Nov 30, 2001 | Mar 18, 2009 | FUJIFILM Corporation | Planographic printing plate precursor |
| EP2039509A1 | Sep 18, 2008 | Mar 25, 2009 | FUJIFILM Corporation | Curable composition, image forming material, and planographic printing plate precursor |
| EP2042305A2 | Sep 15, 2008 | Apr 1, 2009 | FUJIFILM Corporation | Planographic printing plate precursor |
| EP2042306A2 | Sep 18, 2008 | Apr 1, 2009 | FUJIFILM Corporation | Planographic printing plate precursor and method of producing a copolymer used therein |
| EP2042308A2 | Sep 26, 2008 | Apr 1, 2009 | FUJIFILM Corporation | Planographic printing plate precursor |
| EP2042309A2 | Sep 26, 2008 | Apr 1, 2009 | FUJIFILM Corporation | Method of producing a negative planographic printing plate |
| EP2042310A2 | Sep 26, 2008 | Apr 1, 2009 | FUJIFILM Corporation | Planographic printing plate precursor |
| EP2042311A1 | Sep 26, 2008 | Apr 1, 2009 | FUJIFILM Corporation | Lithographic printing plate precursor, method of preparing lithographic printing plate and lithographic printing method |
| EP2042312A2 | Sep 26, 2008 | Apr 1, 2009 | FUJIFILM Corporation | Processing method of lithographic printing plate precursor |
| EP2042340A2 | Sep 26, 2008 | Apr 1, 2009 | Fujifilm Corporation | Lithographic printing plate surface protective agent and platemaking method for lithographic printing plate |
| EP2042532A2 | Sep 23, 2008 | Apr 1, 2009 | FUJIFILM Corporation | Polymerizable composition and planographic printing plate precursor using the same, alkalisoluble polyrethane resin, an process for producing diol compound |
| EP2042923A2 | Sep 25, 2008 | Apr 1, 2009 | FUJIFILM Corporation | Image-forming method and lithographic printing plate precursor |
| EP2042928A2 | Sep 24, 2008 | Apr 1, 2009 | FUJIFILM Corporation | Negative-working photosensitive material and negative-working planographic printing plate precursor |
| EP2045662A2 | Sep 26, 2008 | Apr 8, 2009 | FUJIFILM Corporation | Lithographic printing plate precursor and method of preparing lithographic printing plate |
| EP2048000A2 | Sep 17, 2008 | Apr 15, 2009 | FUJIFILM Corporation | Plate making method of lithographic printing plate precursor |
| EP2055476A2 | Oct 29, 2008 | May 6, 2009 | FUJIFILM Corporation | Lithographic printing plate precursor |
| EP2058123A2 | Nov 7, 2008 | May 13, 2009 | FUJIFILM Corporation | Resin composition for laser engraving, resin printing plate precursor for laser engraving, relief printing plate and method for production of relief printing plate |
| EP2070696A1 | Dec 10, 2008 | Jun 17, 2009 | FUJIFILM Corporation | Method of preparing lithographic printing plate and lithographic printing plate precursor |
| EP2078984A1 | Jan 9, 2009 | Jul 15, 2009 | Fujifilm Corporation | Lithographic printing plate precursor, method of preparing lithographic printing plate and lithographic printing method |
| EP2082874A1 | Jan 22, 2009 | Jul 29, 2009 | Fujifilm Corporation | Method of manufacturing relief printing plate and printing plate precursor for laser engraving |
| EP2082875A1 | Jan 22, 2009 | Jul 29, 2009 | FUJIFILM Corporation | Lithographic printing plate precursor and plate making method thereof |
| EP2085220A2 | Jan 28, 2009 | Aug 5, 2009 | FUJIFILM Corporation | Resin composition for laser engraving, relief printing plate precursor for laser engraving, relief printing plate and method of producing the same |
| EP2088468A1 | Feb 6, 2009 | Aug 12, 2009 | FUJIFILM Corporation | Method of preparing lithographic printing plate and lithographic printing plate precursor |
| EP2090933A1 | Feb 5, 2009 | Aug 19, 2009 | FUJIFILM Corporation | Lithographic printing plate precursor and printing method |
| EP2093055A1 | Mar 26, 2004 | Aug 26, 2009 | Fujifilm Corporation | Lithographic printing method and presensitized plate |
| EP2095947A1 | Feb 23, 2009 | Sep 2, 2009 | FUJIFILM Corporation | Resin composition for laser engraving, relief printing plate precursor for laser engraving, relief printing plate, and method of manufacturing relief printing plate |
| EP2095970A1 | Feb 26, 2009 | Sep 2, 2009 | Fujifilm Corporation | Resin composition for laser engraving, resin printing plate precursor for laser engraving, relief printing plate and method for production of relief printing plate |
| EP2100731A2 | Mar 10, 2009 | Sep 16, 2009 | Fujifilm Corporation | Lithographic printing plate precursor and method of lithographic printing |
| EP2101218A1 | Mar 9, 2009 | Sep 16, 2009 | FUJIFILM Corporation | Method for preparing lithographic printing plate and lithographic printing plate precursor |
| EP2105297A1 | Mar 23, 2009 | Sep 30, 2009 | FUJIFILM Corporation | Planographic printing plate precursor and plate making method using the same |
| EP2105298A1 | Mar 24, 2009 | Sep 30, 2009 | Fujifilm Corporation | Negative-working lithographic printing plate precursor and method of lithographic printing using same |
| EP2105690A2 | Mar 26, 2009 | Sep 30, 2009 | Fujifilm Corporation | Method and apparatus for drying |
| EP2105795A1 | Mar 23, 2009 | Sep 30, 2009 | FUJIFILM Corporation | Resin composition for laser engraving, image forming material, relief printing plate precursor for laser engraving, relief printing plate, and method of manufacturing relief printing plate |
| EP2105797A1 | Mar 25, 2009 | Sep 30, 2009 | FUJIFILM Corporation | Lithographic printing plate precursor |
| EP2105800A2 | Mar 18, 2009 | Sep 30, 2009 | FUJIFILM Corporation | Processing solution for preparing lithographic printing plate and processing method of lithographic printing plate precursor |
| EP2106906A1 | Mar 20, 2009 | Oct 7, 2009 | FUJIFILM Corporation | Relief printing plate precursor for laser engraving, relief printing plate, and method of manufacturing relief printing plate |
| EP2106907A2 | Mar 31, 2009 | Oct 7, 2009 | FUJIFILM Corporation | Planographic printing plate precursor |
| EP2109000A1 | Jul 19, 2005 | Oct 14, 2009 | FUJIFILM Corporation | Polymer having polymerizable group, polymerizable composition, planographic printing plate precursor, and planographic printing method using the same |
| EP2110261A2 | Apr 17, 2009 | Oct 21, 2009 | FUJIFILM Corporation | Aluminum alloy plate for lithographic printing plate, ligthographic printing plate support, presensitized plate, method of manufacturing aluminum alloy plate for lithographic printing plate and method of manufacturing lithographic printing plate support |
| EP2145772A2 | Jul 15, 2009 | Jan 20, 2010 | FUJIFILM Corporation | Method of manufacturing aluminum alloy plate for lithographic printing plate, aluminum alloy plate for lithographic printing plate, lithographic printing plate support and presensitized plate |
| EP2161129A2 | Sep 3, 2009 | Mar 10, 2010 | Fujifilm Corporation | Photosensitive lithographic printing plate precursor for infrared laser |
| EP2165828A1 | Sep 10, 2009 | Mar 24, 2010 | FUJIFILM Corporation | Resin composition for laser engraving, relief printing plate precursor for laser engraving, relief printing plate and method of producing the same |
| EP2165829A1 | Sep 21, 2009 | Mar 24, 2010 | Fujifilm Corporation | Lithographic printing plate precursor and plate making method thereof |
| EP2165830A1 | Sep 21, 2009 | Mar 24, 2010 | Fujifilm Corporation | Lithographic printing plate precursor and printing method using the same |
| EP2168767A1 | Sep 24, 2009 | Mar 31, 2010 | Fujifilm Corporation | Method of preparing lithographic printing plate |
| EP2177357A2 | Aug 27, 2009 | Apr 21, 2010 | Fujifilm Corporation | Negative-working lithographic printing plate precursor and method of lithographic printing using same |
| EP2236293A2 | Mar 22, 2010 | Oct 6, 2010 | FUJIFILM Corporation | Lithographic printing plate precursor |
| EP2295247A1 | Jul 7, 2004 | Mar 16, 2011 | Fujifilm Corporation | Lithographic printing plate precursor and lithographic printing method |
| EP2306246A1 | Aug 17, 2006 | Apr 6, 2011 | Fujifilm Corporation | Manufacturing method of lithographic printing plate |
| EP2354854A1 | Sep 17, 2003 | Aug 10, 2011 | FUJIFILM Corporation | Method of making lithographic printing plate |
| EP2357530A2 | Feb 16, 2011 | Aug 17, 2011 | Fujifilm Corporation | Method for producing a planographic printing plate |
| EP2365389A1 | Feb 15, 2011 | Sep 14, 2011 | Fujifilm Corporation | Positive-working lithographic printing plate precursor for infrared laser and process for making lithographic printing plate |
| EP2366546A2 | Mar 10, 2011 | Sep 21, 2011 | FUJIFILM Corporation | Process for making lithographic printing plate and lithographic printing plate |
| EP2380737A1 | Oct 29, 2008 | Oct 26, 2011 | Fujifilm Corporation | Lithographic printing plate precursor |
| EP2381312A2 | Aug 24, 2001 | Oct 26, 2011 | Fujifilm Corporation | Alkaline liquid developer for lithographic printing plate and method for preparing lithographic printing plate |
| EP2439070A2 | Jul 27, 2011 | Apr 11, 2012 | Fujifilm Corporation | Image forming material, planographic printing plate precursor, and method for manufacturing a planographic printing plate |
| EP2471654A2 | Dec 2, 2011 | Jul 4, 2012 | Fujifilm Corporation | Lithographic printing plate precursor, plate making method thereof and lithographic printing method thereof |
| EP2497639A2 | Feb 29, 2012 | Sep 12, 2012 | Fujifilm Corporation | Thermal positive-type planographic original printing plate and method of making planographic printing plate |
| EP2551112A2 | Jul 18, 2012 | Jan 30, 2013 | Fujifilm Corporation | Flexographic printing plate precursor for laser engraving and process for producing same, and flexographic printing plate and process for making same |
| EP2551113A2 | Jun 28, 2012 | Jan 30, 2013 | Fujifilm Corporation | Photosensitive planographic printing plate precursor and method of producing a planographic printing plate |
| EP2556959A1 | Aug 9, 2012 | Feb 13, 2013 | Fujifilm Corporation | Process for producing flexographic printing plate precursor for laser engraving |
| EP2592475A1 | Feb 6, 2008 | May 15, 2013 | Fujifilm Corporation | Photosensitive composition, lithographic printing plate precursor, lithographic printing method, and novel cyanine dyes |
| EP2618215A1 | May 31, 2005 | Jul 24, 2013 | Fujifilm Corporation | Method for producing a lithographic printing plate |
| EP2641738A2 | Feb 20, 2013 | Sep 25, 2013 | Fujifilm Corporation | Method of producing planographic printing plate and planographic printing plate |
| EP2644378A1 | Feb 11, 2013 | Oct 2, 2013 | Fujifilm Corporation | Method of making planographic printing plate and planographic printing plate |
| EP2644379A1 | Feb 26, 2013 | Oct 2, 2013 | FUJIFILM Corporation | Method of producing a planographic printing plate |
| EP2690495A1 | Jul 22, 2013 | Jan 29, 2014 | Fujifilm Corporation | Lithographic printing plate precursor and plate making method thereof |
| EP3021167A1 | Sep 26, 2008 | May 18, 2016 | Fujifilm Corporation | Lithographic printing plate precursor and method of preparing lithographic printing plate |
| EP3051349A1 | Jul 29, 2004 | Aug 3, 2016 | FUJIFILM Corporation | Alkali-soluble polymer and polymerizable composition thereof |
| EP3086176A1 | Feb 27, 2006 | Oct 26, 2016 | Fujifilm Corporation | A lithographic printing method |
| EP3086177A1 | Feb 27, 2006 | Oct 26, 2016 | Fujifilm Corporation | Method for preparing a lithographic printing place precursor |
| EP3182204A1 | Jul 19, 2005 | Jun 21, 2017 | FUJIFILM Corporation | Planographic printing plate precursor using a polymerizable composition |
| WO2007136005A1 | May 18, 2007 | Nov 29, 2007 | Fujifilm Corporation | Method and apparatus for drying substance to be dried |
| WO2009038038A1 | Sep 16, 2008 | Mar 26, 2009 | Fujifilm Corporation | Acetylene compound, salt thereof, condensate thereof, and composition thereof |
| WO2009063824A1 | Nov 10, 2008 | May 22, 2009 | Fujifilm Corporation | Method of drying coating film and process for producing lithographic printing plate precursor |
| WO2009119430A1 | Mar 19, 2009 | Oct 1, 2009 | Fujifilm Corporation | Process for producing lithographic printing plate |
| WO2009119687A1 | Mar 25, 2009 | Oct 1, 2009 | Fujifilm Corporation | Immersion automatic development apparatus and automatic development method for manufacturing planographic printing plate |
| WO2010038795A1 | Sep 30, 2009 | Apr 8, 2010 | Fujifilm Corporation | Lithographic printing original plate, method for producing lithographic printing plate, and polymerizable monomer |
| WO2011037005A1 | Sep 7, 2010 | Mar 31, 2011 | Fujifilm Corporation | Lithographic printing original plate |
| WO2011102485A1 | Feb 18, 2011 | Aug 25, 2011 | Fujifilm Corporation | Process for making lithographic printing plate |
| WO2011125913A1 | Mar 31, 2011 | Oct 13, 2011 | Fujifilm Corporation | Developer for processing planographic printing plate precursor, method for preparing planographic printing plate using the developer, and method for printing |
| WO2013038909A1 | Aug 29, 2012 | Mar 21, 2013 | Fujifilm Corporation | Process for producing lithographic printing plate and lithographic printing plate |
| WO2013039235A1 | Sep 14, 2012 | Mar 21, 2013 | Fujifilm Corporation | Method for recycling wastewater produced by plate-making process |
| WO2013046856A1 | Jul 10, 2012 | Apr 4, 2013 | Fujifilm Corporation | Method for producing lithographic printing plate |
| WO2013065853A1 | Nov 2, 2012 | May 10, 2013 | Fujifilm Corporation | Method for recycling plate-making processing waste solution |
| WO2013145949A1 | Feb 20, 2013 | Oct 3, 2013 | Fujifilm Corporation | Original plate for lithographic printing plate, and method for printing same |
| WO2014141781A1 | Feb 5, 2014 | Sep 18, 2014 | Fujifilm Corporation | Concentrating method for platemaking waste fluid and recycling method |
| U.S. Classification | 430/81, 549/398, 549/23, 549/408, 549/404, 430/83, 549/406 |
| International Classification | C09B23/06, C07D335/06, G03G5/06, C07D311/64, C07D311/58 |
| Cooperative Classification | C07D311/58, C07D335/06, C07D311/64, C09B23/06, G03G5/067 |
| European Classification | C07D311/58, C07D311/64, C09B23/06, G03G5/06H2B2, C07D335/06 |